Abstract:Existing research on news summarization primarily focuses on single-language single-document (SLSD), single-language multi-document (SLMD) or cross-language single-document (CLSD). However, in real-world scenarios, news about a international event often involves multiple documents in different languages, i.e., mixed-language multi-document (MLMD). Therefore, summarizing MLMD news is of great significance. However, the lack of datasets for MLMD news summarization has constrained the development of research in this area. To fill this gap, we construct a mixed-language multi-document news summarization dataset (MLMD-news), which contains four different languages and 10,992 source document cluster and target summary pairs. Additionally, we propose a graph-based extract-generate model and benchmark various methods on the MLMD-news dataset and publicly release our dataset and code\footnote[1]{https://github.com/Southnf9/MLMD-news}, aiming to advance research in summarization within MLMD scenarios.




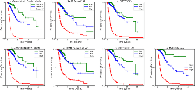
Abstract:Morphological attributes from histopathological images and molecular profiles from genomic data are important information to drive diagnosis, prognosis, and therapy of cancers. By integrating these heterogeneous but complementary data, many multi-modal methods are proposed to study the complex mechanisms of cancers, and most of them achieve comparable or better results from previous single-modal methods. However, these multi-modal methods are restricted to a single task (e.g., survival analysis or grade classification), and thus neglect the correlation between different tasks. In this study, we present a multi-modal fusion framework based on multi-task correlation learning (MultiCoFusion) for survival analysis and cancer grade classification, which combines the power of multiple modalities and multiple tasks. Specifically, a pre-trained ResNet-152 and a sparse graph convolutional network (SGCN) are used to learn the representations of histopathological images and mRNA expression data respectively. Then these representations are fused by a fully connected neural network (FCNN), which is also a multi-task shared network. Finally, the results of survival analysis and cancer grade classification output simultaneously. The framework is trained by an alternate scheme. We systematically evaluate our framework using glioma datasets from The Cancer Genome Atlas (TCGA). Results demonstrate that MultiCoFusion learns better representations than traditional feature extraction methods. With the help of multi-task alternating learning, even simple multi-modal concatenation can achieve better performance than other deep learning and traditional methods. Multi-task learning can improve the performance of multiple tasks not just one of them, and it is effective in both single-modal and multi-modal data.