Abstract:Due to the conceptual simplicity, the linear filtering framework, notably the autoregressive (AR) process, has a long history in simulating clutter sequences with specified probability density functions (PDFs) and autocorrelation functions (ACFs). However, linear filtering inevitably distorts the input distribution, which may lead to inaccurate PDF reproduction or restrict applicability to very simple ACFs. To address these challenges, this study proposes a series-based analytic continuation strategy that revitalizes AR process clutter simulation by accurately precomputing the input pre-distortion required to compensate for AR filtering. First, the moments and cumulants of the AR input are derived based on the input-output relationship of the AR process, facilitating the moment and cumulant expansions of the Laplace transform (LT) and the logarithmic LT around zero, respectively. Second, both series expansions are analytically continued via the Padé approximation (PA) to recover the LT over the full complex plane. Notably, the PA-based continuation of the moment expansion, a conventional choice, can be highly inaccurate when the LT exhibits strong oscillations. By contrast, given the logarithmic LT generally has a simpler structure, the continuation of the cumulant expansion provides a more stable and accurate alternative. Third, the LT recovered from the cumulant expansion facilitates fast simulation of the AR input non-Gaussian white sequence via a random variable transformation method, thereby enabling an efficient AR process. Finally, simulations demonstrate that the proposed strategy enables accurate and fast simulation of non-Gaussian correlated clutter sequences.




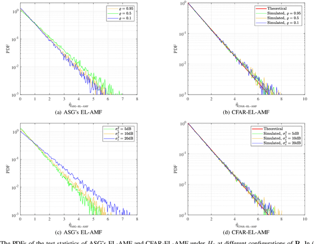
Abstract:This paper addresses two critical limitations in diagonally loaded (DL) adaptive matched filter (AMF) detector: (1) the lack of CFAR property with respect to arbitrary covariance matrices, and (2) the absence of selection criteria for optimal loading factor from the perspective of maximizing the detection probability (Pd). We provide solutions to both challenges through a comprehensive analysis for the asymptotic performance of DL-AMF under large dimensional regime (LDR) where the dimension N and sample size K tend to infinity whereas their ratio N/K converges to a constant c\in(0,1). The analytical results show that any DL detectors constructed by normalizing the random variable |a|2=|sH(R+λIN)-1y0|2 with a deterministic quantity or a random variable that converges almost surely to a deterministic value will exhibit equivalent performance under LDR. Following this idea, we derive two CFAR DL detectors: CFAR DL semi-clairvoyant matched filter (CFAR-DL-SCMF) detector and CFAR DL adaptive matched filter (CFAR-DL-AMF) detector, by normalizing |a|2 with an appropriate deterministic quantity and its consistent estimate, respectively. The theoretical analysis and simulations show that both CFAR-DL-SCMF and CFAR-DL-AMF achieve CFAR with respect to covariance matrix, target steering vector and loading factor. Furthermore, we derive the asymptotically optimal loading factor λ_opt by maximizing the explicit expression of asymptotic Pd. For practical implementation, we provide a consistent estimator for λ_opt under LDR. Based on λ_opt and its consistent estimate, we establish the optimal CFAR-DL-SCMF (opt-CFAR-DL-SCMF) and the optimal CFAR-DL-AMF (opt-CFAR-DL-AMF). Numerical examples demonstrate that the proposed opt-CFAR-DL-SCMF and opt-CFAR-DL-AMF consistently outperform EL-AMF and persymmetric AMF in both full-rank and low-rank clutter plus noise environments.
Abstract:In this paper, we consider directly estimating the eigenvalues of precision matrix, without inverting the corresponding estimator for the eigenvalues of covariance matrix. We focus on a general asymptotic regime, i.e., the large dimensional regime, where both the dimension $N$ and the sample size $K$ tend to infinity whereas their quotient $N/K$ converges to a positive constant. By utilizing tools from random matrix theory, we construct an improved estimator for eigenvalues of precision matrix. We prove the consistency of the new estimator under large dimensional regime. In order to obtain the asymptotic bias term of the proposed estimator, we provide a theoretical result that characterizes the convergence rate of the expected Stieltjes transform (with its derivative) of the spectra of the sample covariance matrix. Using this result, we prove that the asymptotic bias term of the proposed estimator is of order $O(1/K^2)$. Additionally, we establish a central limiting theorem (CLT) to describe the fluctuations of the new estimator. Finally, some numerical examples are presented to validate the excellent performance of the new estimator and to verify the accuracy of the CLT.




Abstract:The compound Gaussian (CG) family of distributions has achieved great success in modeling sea clutter. This work develops a flexible-tailed CG model to improve generality in clutter modeling, by introducing the positive tempered $\alpha$-stable (PT$\alpha$S) distribution to model clutter texture. The PT$\alpha$S distribution exhibits widely tunable tails by tempering the heavy tails of the positive $\alpha$-stable (P$\alpha$S) distribution, thus providing greater flexibility in texture modeling. Specifically, we first develop a bivariate isotropic CG-PT$\alpha$S complex clutter model that is defined by an explicit characteristic function, based on which the corresponding amplitude model is derived. Then, we prove that the amplitude model can be expressed as a scale mixture of Rayleighs, just as the successful compound K and Pareto models. Furthermore, a characteristic function-based method is developed to estimate the parameters of the amplitude model. Finally, real-world sea clutter data analysis indicates the amplitude model's flexibility in modeling clutter data with various tail behaviors.