



Abstract:The boom of the Internet of Things has revolutionized people's lives, but it has also resulted in massive resource consumption and environmental pollution. Recently, Green IoT (GIoT) has become a worldwide consensus to address this issue. In this paper, we propose EEWScatter, an energy-efficient WiFi backscatter communication system to pursue the goal of GIoT. Unlike previous backscatter systems that solely focus on tags, our approach offers a comprehensive system-wide view on energy conservation. Specifically, we reuse ambient signals as carriers and utilize an ultra-low-power and battery-free design for tag nodes by backscatter. Further, we design a new CRC-based algorithm that enables the demodulation of both ambient and tag data by only a single receiver while using ambient carriers. Such a design eliminates system reliance on redundant transceivers with high power consumption. Results demonstrate that EEWScatter achieves the lowest overall system power consumption and saves at least half of the energy. What's more, the power consumption of our tag is only 1/1000 of that of active radio. We believe that EEWScatter is a critical step towards a sustainable future.


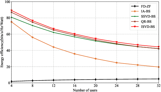
Abstract:To realize mmWave massive MIMO systems in practice, Beamspace MIMO with beam selection provides an attractive solution at a considerably reduced number of radio frequency (RF) chains. We propose low-complexity beam selection algorithms based on singular value decomposition (SVD). We first diagonalize the channel matrix by SVD, and the appropriate beams are selected one-by-one in a decremental or incremental order based on the criterion of sum-rate maximization. To reduce the complexity of the proposed algorithms significantly, we make use of SVD in the last iteration to aviod SVD from scratch again. Meanwhile, our proposed algorithms naturally obtain the precoding matrix, which can eliminate the multiusers interference. Simulation results demonstrate that our proposed algorithms can outperform the competing algorithms, including the fully digital zero-precoding.