Abstract:Reliable confidence estimation enables safe deployment of chain-of-thought (CoT) reasoning through text-only APIs. Yet the dominant black-box baseline, self-consistency over K samples, is linearly expensive and ignores the geometry of the trace. We propose a black-box trajectory-confidence score: we embed a CoT as a sliding-window trajectory and measure its convergence to external answer anchors with a one-parameter softmax. The method needs no logits, hidden states, or supervised calibrators. Across six (benchmark, reasoner) settings on MedQA-USMLE, GPQA Diamond, and MMLU-Pro with Gemini 3.1 Pro and Claude Sonnet 4.6, fusing this score with coverage and verbalized-confidence channels at K=4 yields Pareto improvements over self-consistency at K=8 in 6/6 settings (median AUC 0.78 vs 0.71, deltaAUC=+0.075). A fixed-pick control (+0.060) and E5 cross-embedder replication rule out answer switching and single-vendor artifacts. Geometry peaks in the penultimate window across benchmarks and reasoners, and inverts at the terminal window on GPQA Diamond. Three unscaffolded regimes separate black-box confidence into a judge-mediated Coverage prior (C), within-trace Geometry (G), and a conditional Verbalization channel (V). Across 18 benchmark x reasoner x proposer settings, C and G provide independent signal in 18/18 and 16/18, while V contributes residual signal in 6/18. Swapping the judge from GPT-5-mini to Claude Sonnet 4.6 leaves G-only AUC unchanged (|delta|<=0.013) and shifts C-only AUC by at most +/-0.02 (kappa=0.82). Fusion beats the best single channel in 17/18 settings (median AUC 0.78, max 0.92).
Abstract:Predicting transcriptional responses to unseen genetic perturbations is essential for understanding gene regulation and prioritizing large-scale perturbation experiments. Existing approaches either rely on static, potentially incomplete knowledge graphs, or prompt language models for functionally similar genes, retrieving associations shaped by symmetric co-occurrence in scientific text rather than directed regulatory logic. We introduce MechPert, a lightweight framework that encourages LLM agents to generate directed regulatory hypotheses rather than relying solely on functional similarity. Multiple agents independently propose candidate regulators with associated confidence scores; these are aggregated through a consensus mechanism that filters spurious associations, producing weighted neighborhoods for downstream prediction. We evaluate MechPert on Perturb-seq benchmarks across four human cell lines. For perturbation prediction in low-data regimes ($N=50$ observed perturbations), MechPert improves Pearson correlation by up to 10.5\% over similarity-based baselines. For experimental design, MechPert-selected anchor genes outperform standard network centrality heuristics by up to 46\% in well-characterized cell lines.
Abstract:Inverse folding models have proven to be highly effective zero-shot predictors of protein stability. Despite this success, the link between the amino acid preferences of an inverse folding model and the free-energy considerations underlying thermodynamic stability remains incompletely understood. A better understanding would be of interest not only from a theoretical perspective, but also potentially provide the basis for stronger zero-shot stability prediction. In this paper, we take steps to clarify the free-energy foundations of inverse folding models. Our derivation reveals the standard practice of likelihood ratios as a simplistic approximation and suggests several paths towards better estimates of the relative stability. We empirically assess these approaches and demonstrate that considerable gains in zero-shot performance can be achieved with fairly simple means.




Abstract:Bayesian optimization (BO) is an attractive machine learning framework for performing sample-efficient global optimization of black-box functions. The optimization process is guided by an acquisition function that selects points to acquire in each round of BO. In batched BO, when multiple points are acquired in parallel, commonly used acquisition functions are often high-dimensional and intractable, leading to the use of sampling-based alternatives. We propose a statistical physics inspired acquisition function for BO with Gaussian processes that can natively handle batches. Batched Energy-Entropy acquisition for BO (BEEBO) enables tight control of the explore-exploit trade-off of the optimization process and generalizes to heteroskedastic black-box problems. We demonstrate the applicability of BEEBO on a range of problems, showing competitive performance to existing methods.




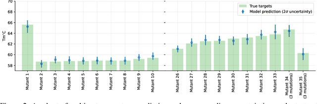
Abstract:Pre-trained protein language models have demonstrated significant applicability in different protein engineering task. A general usage of these pre-trained transformer models latent representation is to use a mean pool across residue positions to reduce the feature dimensions to further downstream tasks such as predicting bio-physics properties or other functional behaviours. In this paper we provide a two-fold contribution to machine learning (ML) driven drug design. Firstly, we demonstrate the power of sparsity by promoting penalization of pre-trained transformer models to secure more robust and accurate melting temperature (Tm) prediction of single-chain variable fragments with a mean absolute error of 0.23C. Secondly, we demonstrate the power of framing our prediction problem in a probabilistic framework. Specifically, we advocate for the need of adopting probabilistic frameworks especially in the context of ML driven drug design.