Abstract:Craig interpolation and uniform interpolation have many applications in knowledge representation, including explainability, forgetting, modularization and reuse, and even learning. At the same time, many relevant knowledge representation formalisms do in general not have Craig or uniform interpolation, and computing interpolants in practice is challenging. We have a closer look at two prominent knowledge representation formalisms, description logics and logic programming, and discuss theoretical results and practical methods for computing interpolants.




Abstract:We present a method for automatically constructing a concept hierarchy for a given domain by querying a large language model. We apply this method to various domains using OpenAI's GPT 3.5. Our experiments indicate that LLMs can be of considerable help for constructing concept hierarchies.
Abstract:Recently, the study of the unique characterisability and learnability of database queries by means of examples has been extended to ontology-mediated queries. Here, we study in how far the obtained results can be lifted to temporalised ontology-mediated queries. We provide a systematic introduction to the relevant approaches in the non-temporal case and then show general transfer results pinpointing under which conditions existing results can be lifted to temporalised queries.




Abstract:We propose bounded fitting as a scheme for learning description logic concepts in the presence of ontologies. A main advantage is that the resulting learning algorithms come with theoretical guarantees regarding their generalization to unseen examples in the sense of PAC learning. We prove that, in contrast, several other natural learning algorithms fail to provide such guarantees. As a further contribution, we present the system SPELL which efficiently implements bounded fitting for the description logic $\mathcal{ELH}^r$ based on a SAT solver, and compare its performance to a state-of-the-art learner.
Abstract:This note serves three purposes: (i) we provide a self-contained exposition of the fact that conjunctive queries are not efficiently learnable in the Probably-Approximately-Correct (PAC) model, paying clear attention to the complicating fact that this concept class lacks the polynomial-size fitting property, a property that is tacitly assumed in much of the computational learning theory literature; (ii) we establish a strong negative PAC learnability result that applies to many restricted classes of conjunctive queries (CQs), including acyclic CQs for a wide range of notions of "acyclicity"; (iii) we show that CQs are efficiently PAC learnable with membership queries.
Abstract:We study ELI queries (ELIQs) in the presence of ontologies formulated in the description logic DL-Lite. For the dialect DL-LiteH, we show that ELIQs have a frontier (set of least general generalizations) that is of polynomial size and can be computed in polynomial time. In the dialect DL-LiteF, in contrast, frontiers may be infinite. We identify a natural syntactic restriction that enables the same positive results as for DL-LiteH. We use out results on frontiers to show that ELIQs are learnable in polynomial time in the presence of a DL-LiteH / restricted DL-LiteF ontology in Angluin's framework of exact learning with only membership queries.


Abstract:We study the problem to decide, given sets T1,T2 of tuple-generating dependencies (TGDs), also called existential rules, whether T2 is a conservative extension of T1. We consider two natural notions of conservative extension, one pertaining to answers to conjunctive queries over databases and one to homomorphisms between chased databases. Our main results are that these problems are undecidable for linear TGDs, undecidable for guarded TGDs even when T1 is empty, and decidable for frontier-one TGDs.

Abstract:We consider the problem to learn a concept or a query in the presence of an ontology formulated in the description logic ELr, in Angluin's framework of active learning that allows the learning algorithm to interactively query an oracle (such as a domain expert). We show that the following can be learned in polynomial time: (1) EL-concepts, (2) symmetry-free ELI-concepts, and (3) conjunctive queries (CQs) that are chordal, symmetry-free, and of bounded arity. In all cases, the learner can pose to the oracle membership queries based on ABoxes and equivalence queries that ask whether a given concept/query from the considered class is equivalent to the target. The restriction to bounded arity in (3) can be removed when we admit unrestricted CQs in equivalence queries. We also show that EL-concepts are not polynomial query learnable in the presence of ELI-ontologies.


Abstract:We investigate the decidability and computational complexity of conservative extensions and the related notions of inseparability and entailment in Horn description logics (DLs) with inverse roles. We consider both query conservative extensions, defined by requiring that the answers to all conjunctive queries are left unchanged, and deductive conservative extensions, which require that the entailed concept inclusions, role inclusions, and functionality assertions do not change. Upper bounds for query conservative extensions are particularly challenging because characterizations in terms of unbounded homomorphisms between universal models, which are the foundation of the standard approach to establishing decidability, fail in the presence of inverse roles. We resort to a characterization that carefully mixes unbounded and bounded homomorphisms and enables a decision procedure that combines tree automata and a mosaic technique. Our main results are that query conservative extensions are 2ExpTime-complete in all DLs between ELI and Horn-ALCHIF and between Horn-ALC and Horn-ALCHIF, and that deductive conservative extensions are 2ExpTime-complete in all DLs between ELI and ELHIF_\bot. The same results hold for inseparability and entailment.


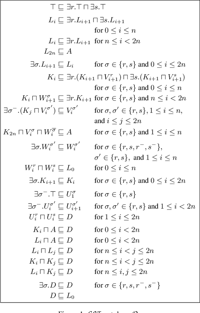
Abstract:We study query answering in the description logic $\mathcal{SQ}$ supporting qualified number restrictions on both transitive and non-transitive roles. Our main contributions are a tree-like model property for $\mathcal{SQ}$ knowledge bases and, building upon this, an optimal automata-based algorithm for answering positive existential regular path queries in 2ExpTime.