



Abstract:Algorithms frequently assist, rather than replace, human decision-makers. However, the design and analysis of algorithms often focus on predicting outcomes and do not explicitly model their effect on human decisions. This discrepancy between the design and role of algorithmic assistants becomes of particular concern in light of empirical evidence that suggests that algorithmic assistants again and again fail to improve human decisions. In this article, we formalize the design of recommendation algorithms that assist human decision-makers without making restrictive ex-ante assumptions about how recommendations affect decisions. We formulate an algorithmic-design problem that leverages the potential-outcomes framework from causal inference to model the effect of recommendations on a human decision-maker's binary treatment choice. Within this model, we introduce a monotonicity assumption that leads to an intuitive classification of human responses to the algorithm. Under this monotonicity assumption, we can express the human's response to algorithmic recommendations in terms of their compliance with the algorithm and the decision they would take if the algorithm sends no recommendation. We showcase the utility of our framework using an online experiment that simulates a hiring task. We argue that our approach explains the relative performance of different recommendation algorithms in the experiment, and can help design solutions that realize human-AI complementarity.
Abstract:We consider learning personalized assignments to one of many treatment arms from a randomized controlled trial. Standard methods that estimate heterogeneous treatment effects separately for each arm may perform poorly in this case due to excess variance. We instead propose methods that pool information across treatment arms: First, we consider a regularized forest-based assignment algorithm based on greedy recursive partitioning that shrinks effect estimates across arms. Second, we augment our algorithm by a clustering scheme that combines treatment arms with consistently similar outcomes. In a simulation study, we compare the performance of these approaches to predicting arm-wise outcomes separately, and document gains of directly optimizing the treatment assignment with regularization and clustering. In a theoretical model, we illustrate how a high number of treatment arms makes finding the best arm hard, while we can achieve sizable utility gains from personalization by regularized optimization.




Abstract:In many settings, interventions may be more effective for some individuals than others, so that targeting interventions may be beneficial. We analyze the value of targeting in the context of a large-scale field experiment with over 53,000 college students, where the goal was to use "nudges" to encourage students to renew their financial-aid applications before a non-binding deadline. We begin with baseline approaches to targeting. First, we target based on a causal forest that estimates heterogeneous treatment effects and then assigns students to treatment according to those estimated to have the highest treatment effects. Next, we evaluate two alternative targeting policies, one targeting students with low predicted probability of renewing financial aid in the absence of the treatment, the other targeting those with high probability. The predicted baseline outcome is not the ideal criterion for targeting, nor is it a priori clear whether to prioritize low, high, or intermediate predicted probability. Nonetheless, targeting on low baseline outcomes is common in practice, for example because the relationship between individual characteristics and treatment effects is often difficult or impossible to estimate with historical data. We propose hybrid approaches that incorporate the strengths of both predictive approaches (accurate estimation) and causal approaches (correct criterion); we show that targeting intermediate baseline outcomes is most effective, while targeting based on low baseline outcomes is detrimental. In one year of the experiment, nudging all students improved early filing by an average of 6.4 percentage points over a baseline average of 37% filing, and we estimate that targeting half of the students using our preferred policy attains around 75% of this benefit.




Abstract:Motivated by a recent literature on the double-descent phenomenon in machine learning, we consider highly over-parametrized models in causal inference, including synthetic control with many control units. In such models, there may be so many free parameters that the model fits the training data perfectly. As a motivating example, we first investigate high-dimensional linear regression for imputing wage data, where we find that models with many more covariates than sample size can outperform simple ones. As our main contribution, we document the performance of high-dimensional synthetic control estimators with many control units. We find that adding control units can help improve imputation performance even beyond the point where the pre-treatment fit is perfect. We then provide a unified theoretical perspective on the performance of these high-dimensional models. Specifically, we show that more complex models can be interpreted as model-averaging estimators over simpler ones, which we link to an improvement in average performance. This perspective yields concrete insights into the use of synthetic control when control units are many relative to the number of pre-treatment periods.




Abstract:When we use algorithms to produce recommendations, we typically think of these recommendations as providing helpful information, such as when risk assessments are presented to judges or doctors. But when a decision-maker obtains a recommendation, they may not only react to the information. The decision-maker may view the recommendation as a default action, making it costly for them to deviate, for example when a judge is reluctant to overrule a high-risk assessment of a defendant or a doctor fears the consequences of deviating from recommended procedures. In this article, we consider the effect and design of recommendations when they affect choices not just by shifting beliefs, but also by altering preferences. We motivate our model from institutional factors, such as a desire to avoid audits, as well as from well-established models in behavioral science that predict loss aversion relative to a reference point, which here is set by the algorithm. We show that recommendation-dependent preferences create inefficiencies where the decision-maker is overly responsive to the recommendation, which changes the optimal design of the algorithm towards providing less conservative recommendations. As a potential remedy, we discuss an algorithm that strategically withholds recommendations, and show how it can improve the quality of final decisions.



Abstract:We investigate the optimal design of experimental studies that have pre-treatment outcome data available. The average treatment effect is estimated as the difference between the weighted average outcomes of the treated and control units. A number of commonly used approaches fit this formulation, including the difference-in-means estimator and a variety of synthetic-control techniques. We propose several methods for choosing the set of treated units in conjunction with the weights. Observing the NP-hardness of the problem, we introduce a mixed-integer programming formulation which selects both the treatment and control sets and unit weightings. We prove that these proposed approaches lead to qualitatively different experimental units being selected for treatment. We use simulations based on publicly available data from the US Bureau of Labor Statistics that show improvements in terms of mean squared error and statistical power when compared to simple and commonly used alternatives such as randomized trials.

Abstract:When machine-learning algorithms are deployed in high-stakes decisions, we want to ensure that their deployment leads to fair and equitable outcomes. This concern has motivated a fast-growing literature that focuses on diagnosing and addressing disparities in machine predictions. However, many machine predictions are deployed to assist in decisions where a human decision-maker retains the ultimate decision authority. In this article, we therefore consider how properties of machine predictions affect the resulting human decisions. We show in a formal model that the inclusion of a biased human decision-maker can revert common relationships between the structure of the algorithm and the qualities of resulting decisions. Specifically, we document that excluding information about protected groups from the prediction may fail to reduce, and may even increase, ultimate disparities. While our concrete results rely on specific assumptions about the data, algorithm, and decision-maker, they show more broadly that any study of critical properties of complex decision systems, such as the fairness of machine-assisted human decisions, should go beyond focusing on the underlying algorithmic predictions in isolation.




Abstract:We characterize optimal oversight of algorithms in a world where an agent designs a complex prediction function but a principal is limited in the amount of information she can learn about the prediction function. We show that limiting agents to prediction functions that are simple enough to be fully transparent is inefficient as long as the bias induced by misalignment between principal's and agent's preferences is small relative to the uncertainty about the true state of the world. Algorithmic audits can improve welfare, but the gains depend on the design of the audit tools. Tools that focus on minimizing overall information loss, the focus of many post-hoc explainer tools, will generally be inefficient since they focus on explaining the average behavior of the prediction function rather than sources of mis-prediction, which matter for welfare-relevant outcomes. Targeted tools that focus on the source of incentive misalignment, e.g., excess false positives or racial disparities, can provide first-best solutions. We provide empirical support for our theoretical findings using an application in consumer lending.




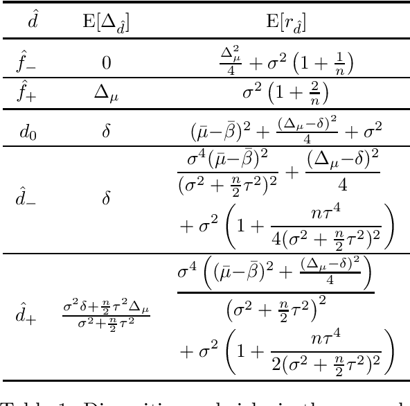
Abstract:Instrumental variables (IV) regression is widely used to estimate causal treatment effects in settings where receipt of treatment is not fully random, but there exists an instrument that generates exogenous variation in treatment exposure. While IV can recover consistent treatment effect estimates, they are often noisy. Building upon earlier work in biostatistics (Joffe and Brensinger, 2003) and relating to an evolving literature in econometrics (including Abadie et al., 2019; Huntington-Klein, 2020; Borusyak and Hull, 2020), we study how to improve the efficiency of IV estimates by exploiting the predictable variation in the strength of the instrument. In the case where both the treatment and instrument are binary and the instrument is independent of baseline covariates, we study weighting each observation according to its estimated compliance (that is, its conditional probability of being affected by the instrument), which we motivate from a (constrained) solution of the first-stage prediction problem implicit to IV. The resulting estimator can leverage machine learning to estimate compliance as a function of baseline covariates. We derive the large-sample properties of a specific implementation of a weighted IV estimator in the potential outcomes and local average treatment effect (LATE) frameworks, and provide tools for inference that remain valid even when the weights are estimated nonparametrically. With both theoretical results and a simulation study, we demonstrate that compliance weighting meaningfully reduces the variance of IV estimates when first-stage heterogeneity is present, and that this improvement often outweighs any difference between the compliance-weighted and unweighted IV estimands. These results suggest that in a variety of applied settings, the precision of IV estimates can be substantially improved by incorporating compliance estimation.




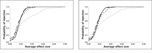
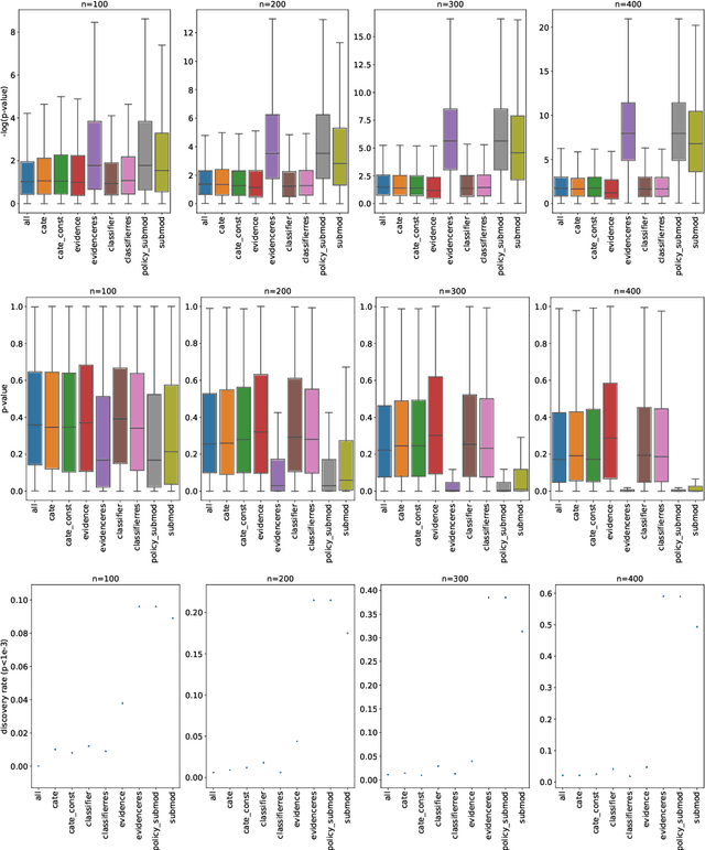
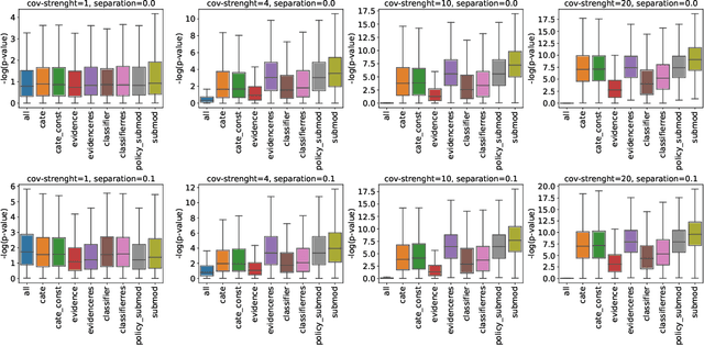
Abstract:The past years have seen seen the development and deployment of machine-learning algorithms to estimate personalized treatment-assignment policies from randomized controlled trials. Yet such algorithms for the assignment of treatment typically optimize expected outcomes without taking into account that treatment assignments are frequently subject to hypothesis testing. In this article, we explicitly take significance testing of the effect of treatment-assignment policies into account, and consider assignments that optimize the probability of finding a subset of individuals with a statistically significant positive treatment effect. We provide an efficient implementation using decision trees, and demonstrate its gain over selecting subsets based on positive (estimated) treatment effects. Compared to standard tree-based regression and classification tools, this approach tends to yield substantially higher power in detecting subgroups with positive treatment effects.