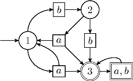
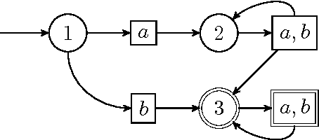
Abstract:Graph Neural Networks (GNNs) are a class of machine-learning models that operate on graph-structured data. Their expressive power is intimately related to logics that are invariant under graded bisimilarity. Current proposals for recurrent GNNs either assume that the graph size is given to the model, or suffer from a lack of termination guarantees. In this paper, we propose a halting mechanism for recurrent GNNs. We prove that our halting model can express all node classifiers definable in graded modal mu-calculus, even for the standard GNN variant that is oblivious to the graph size. A recent breakthrough in the study of the expressivity of graded modal mu-calculus in the finite suggests that conversely, restricted to node classifiers definable in monadic second-order logic, recurrent GNNs can express only node classifiers definable in graded modal mu-calculus. To prove our main result, we develop a new approximate semantics for graded mu-calculus, which we believe to be of independent interest. We leverage this new semantics into a new model-checking algorithm, called the counting algorithm, which is oblivious to the graph size. In a final step we show that the counting algorithm can be implemented on a halting recurrent GNN.



Abstract:We consider machine learning models, learned from data, to be an important, intensional, kind of data in themselves. As such, various analysis tasks on models can be thought of as queries over this intensional data, often combined with extensional data such as data for training or validation. We demonstrate that relational database systems and SQL can actually be well suited for many such tasks.
Abstract:We lay the foundations for a database-inspired approach to interpreting and understanding neural network models by querying them using declarative languages. Towards this end we study different query languages, based on first-order logic, that mainly differ in their access to the neural network model. First-order logic over the reals naturally yields a language which views the network as a black box; only the input--output function defined by the network can be queried. This is essentially the approach of constraint query languages. On the other hand, a white-box language can be obtained by viewing the network as a weighted graph, and extending first-order logic with summation over weight terms. The latter approach is essentially an abstraction of SQL. In general, the two approaches are incomparable in expressive power, as we will show. Under natural circumstances, however, the white-box approach can subsume the black-box approach; this is our main result. We prove the result concretely for linear constraint queries over real functions definable by feedforward neural networks with a fixed number of hidden layers and piecewise linear activation functions.




Abstract:Graph Neural Networks (GNNs) are a form of deep learning that enable a wide range of machine learning applications on graph-structured data. The learning of GNNs, however, is known to pose challenges for memory-constrained devices such as GPUs. In this paper, we study exact compression as a way to reduce the memory requirements of learning GNNs on large graphs. In particular, we adopt a formal approach to compression and propose a methodology that transforms GNN learning problems into provably equivalent compressed GNN learning problems. In a preliminary experimental evaluation, we give insights into the compression ratios that can be obtained on real-world graphs and apply our methodology to an existing GNN benchmark.

Abstract:We investigate the power of message-passing neural networks (MPNNs) in their capacity to transform the numerical features stored in the nodes of their input graphs. Our focus is on global expressive power, uniformly over all input graphs, or over graphs of bounded degree with features from a bounded domain. Accordingly, we introduce the notion of a global feature map transformer (GFMT). As a yardstick for expressiveness, we use a basic language for GFMTs, which we call MPLang. Every MPNN can be expressed in MPLang, and our results clarify to which extent the converse inclusion holds. We consider exact versus approximate expressiveness; the use of arbitrary activation functions; and the case where only the ReLU activation function is allowed.




Abstract:In constraint languages for RDF graphs, such as ShEx and SHACL, constraints on nodes and their properties in RDF graphs are known as "shapes". Schemas in these languages list the various shapes that certain targeted nodes must satisfy for the graph to conform to the schema. Using SHACL, we propose in this paper a novel use of shapes, by which a set of shapes is used to extract a subgraph from an RDF graph, the so-called shape fragment. Our proposed mechanism fits in the framework of Linked Data Fragments. In this paper, (i) we define our extraction mechanism formally, building on recently proposed SHACL formalizations; (ii) we establish correctness properties, which relate shape fragments to notions of provenance for database queries; (iii) we compare shape fragments with SPARQL queries; (iv) we discuss implementation options; and (v) we present initial experiments demonstrating that shape fragments are a feasible new idea.




Abstract:We study a learning principle based on the intuition of forming ramps. The agent tries to follow an increasing sequence of values until the agent meets a peak of reward. The resulting Value-Ramp algorithm is natural, easy to configure, and has a robust implementation with natural numbers.


Abstract:The satisfiability problem for SPARQL patterns is undecidable in general, since the expressive power of SPARQL 1.0 is comparable with that of the relational algebra. The goal of this paper is to delineate the boundary of decidability of satisfiability in terms of the constraints allowed in filter conditions. The classes of constraints considered are bound-constraints, negated bound-constraints, equalities, nonequalities, constant-equalities, and constant-nonequalities. The main result of the paper can be summarized by saying that, as soon as inconsistent filter conditions can be formed, satisfiability is undecidable. The key insight in each case is to find a way to emulate the set difference operation. Undecidability can then be obtained from a known undecidability result for the algebra of binary relations with union, composition, and set difference. When no inconsistent filter conditions can be formed, satisfiability is efficiently decidable by simple checks on bound variables and on the use of literals. The paper also points out that satisfiability for the so-called `well-designed' patterns can be decided by a check on bound variables and a check for inconsistent filter conditions.




Abstract:Conjunctive database queries have been extended with a mechanism for object creation to capture important applications such as data exchange, data integration, and ontology-based data access. Object creation generates new object identifiers in the result, that do not belong to the set of constants in the source database. The new object identifiers can be also seen as Skolem terms. Hence, object-creating conjunctive queries can also be regarded as restricted second-order tuple-generating dependencies (SO tgds), considered in the data exchange literature. In this paper, we focus on the class of single-function object-creating conjunctive queries, or sifo CQs for short. We give a new characterization for oid-equivalence of sifo CQs that is simpler than the one given by Hull and Yoshikawa and places the problem in the complexity class NP. Our characterization is based on Cohen's equivalence notions for conjunctive queries with multiplicities. We also solve the logical entailment problem for sifo CQs, showing that also this problem belongs to NP. Results by Pichler et al. have shown that logical equivalence for more general classes of SO tgds is either undecidable or decidable with as yet unknown complexity upper bounds.




Abstract:We consider a reinforcement learning framework where agents have to navigate from start states to goal states. We prove convergence of a cycle-detection learning algorithm on a class of tasks that we call reducible. Reducible tasks have an acyclic solution. We also syntactically characterize the form of the final policy. This characterization can be used to precisely detect the convergence point in a simulation. Our result demonstrates that even simple algorithms can be successful in learning a large class of nontrivial tasks. In addition, our framework is elementary in the sense that we only use basic concepts to formally prove convergence.