Abstract:Large Language Models (LLMs) have the tendency to hallucinate, i.e., to sporadically generate false or fabricated information. This presents a major challenge, as hallucinations often appear highly convincing and users generally lack the tools to detect them. Uncertainty quantification (UQ) provides a framework for assessing the reliability of model outputs, aiding in the identification of potential hallucinations. In this work, we introduce pre-trained UQ heads: supervised auxiliary modules for LLMs that substantially enhance their ability to capture uncertainty compared to unsupervised UQ methods. Their strong performance stems from the powerful Transformer architecture in their design and informative features derived from LLM attention maps. Experimental evaluation shows that these heads are highly robust and achieve state-of-the-art performance in claim-level hallucination detection across both in-domain and out-of-domain prompts. Moreover, these modules demonstrate strong generalization to languages they were not explicitly trained on. We pre-train a collection of UQ heads for popular LLM series, including Mistral, Llama, and Gemma 2. We publicly release both the code and the pre-trained heads.




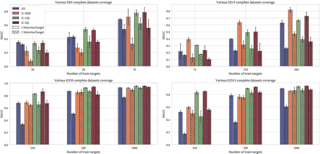
Abstract:In this work, we explore the integration of Reinforcement Learning (RL) approaches within a scalable offline In-Context RL (ICRL) framework. Through experiments across more than 150 datasets derived from GridWorld and MuJoCo environments, we demonstrate that optimizing RL objectives improves performance by approximately 40% on average compared to the widely established Algorithm Distillation (AD) baseline across various dataset coverages, structures, expertise levels, and environmental complexities. Our results also reveal that offline RL-based methods outperform online approaches, which are not specifically designed for offline scenarios. These findings underscore the importance of aligning the learning objectives with RL's reward-maximization goal and demonstrate that offline RL is a promising direction for application in ICRL settings.