



Abstract:This paper calls on the research community not only to investigate how human biases are inherited by large language models (LLMs) but also to explore how these biases in LLMs can be leveraged to make society's "unwritten code" - such as implicit stereotypes and heuristics - visible and accessible for critique. We introduce a conceptual framework through a case study in science: uncovering hidden rules in peer review - the factors that reviewers care about but rarely state explicitly due to normative scientific expectations. The idea of the framework is to push LLMs to speak out their heuristics through generating self-consistent hypotheses - why one paper appeared stronger in reviewer scoring - among paired papers submitted to 45 computer science conferences, while iteratively searching deeper hypotheses from remaining pairs where existing hypotheses cannot explain. We observed that LLMs' normative priors about the internal characteristics of good science extracted from their self-talk, e.g. theoretical rigor, were systematically updated toward posteriors that emphasize storytelling about external connections, such as how the work is positioned and connected within and across literatures. This shift reveals the primacy of scientific myths about intrinsic properties driving scientific excellence rather than extrinsic contextualization and storytelling that influence conceptions of relevance and significance. Human reviewers tend to explicitly reward aspects that moderately align with LLMs' normative priors (correlation = 0.49) but avoid articulating contextualization and storytelling posteriors in their review comments (correlation = -0.14), despite giving implicit reward to them with positive scores. We discuss the broad applicability of the framework, leveraging LLMs as diagnostic tools to surface the tacit codes underlying human society, enabling more precisely targeted responsible AI.




Abstract:Large language models (LLMs) increasingly demonstrate signs of conceptual understanding, yet much of their internal knowledge remains latent, loosely structured, and difficult to access or evaluate. We propose self-questioning as a lightweight and scalable strategy to improve LLMs' understanding, particularly in domains where success depends on fine-grained semantic distinctions. To evaluate this approach, we introduce a challenging new benchmark of 1.3 million post-2015 computer science patent pairs, characterized by dense technical jargon and strategically complex writing. The benchmark centers on a pairwise differentiation task: can a model distinguish between closely related but substantively different inventions? We show that prompting LLMs to generate and answer their own questions - targeting the background knowledge required for the task - significantly improves performance. These self-generated questions and answers activate otherwise underutilized internal knowledge. Allowing LLMs to retrieve answers from external scientific texts further enhances performance, suggesting that model knowledge is compressed and lacks the full richness of the training data. We also find that chain-of-thought prompting and self-questioning converge, though self-questioning remains more effective for improving understanding of technical concepts. Notably, we uncover an asymmetry in prompting: smaller models often generate more fundamental, more open-ended, better-aligned questions for mid-sized models than large models with better understanding do, revealing a new strategy for cross-model collaboration. Altogether, our findings establish self-questioning as both a practical mechanism for automatically improving LLM comprehension, especially in domains with sparse and underrepresented knowledge, and a diagnostic probe of how internal and external knowledge are organized.




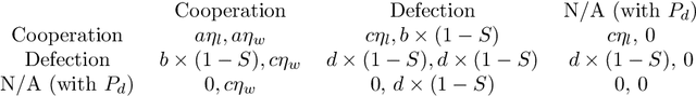
Abstract:The complexity of cooperative behavior is a crucial issue in multiagent-based social simulation. In this paper, an agent-based model is proposed to study the evolution of cooperative hunting behaviors in an artificial society. In this model, the standard hunting game of stag is modified into a new situation with social hierarchy and penalty. The agent society is divided into multiple layers with supervisors and subordinates. In each layer, the society is divided into multiple clusters. A supervisor controls all subordinates in a cluster locally. Subordinates interact with rivals through reinforcement learning, and report learning information to their corresponding supervisor. Supervisors process the reported information through repeated affiliation-based aggregation and by information exchange with other supervisors, then pass down the reprocessed information to subordinates as guidance. Subordinates, in turn, update learning information according to guidance, following the "win stay, lose shift" strategy. Experiments are carried out to test the evolution of cooperation in this closed-loop semi-supervised emergent system with different parameters. We also study the variations and phase transitions in this game setting.