Abstract:Extending the intelligence of sensors to the data-acquisition process - deciding whether to sample or not - can result in transformative energy-efficiency gains. However, making such a decision in a deterministic manner involves risk of losing information. Here we present a sensing paradigm that enables making such a decision in a probabilistic manner. The paradigm takes inspiration from the autonomous nervous system and employs a probabilistic neuron (p-neuron) driven by an analog feature extraction circuit. The response time of the system is on the order of microseconds, over-coming the sub-sampling-rate response time limit and enabling real-time intelligent autonomous activation of data-sampling. Validation experiments on active seismic survey data demonstrate lossless probabilistic data acquisition, with a normalized mean squared error of 0.41%, and 93% saving in the active operation time of the system and the number of generated samples.
Abstract:Probabilistic bits (p-bits) have recently been employed in neural networks (NNs) as stochastic neurons with sigmoidal probabilistic activation functions. Nonetheless, there remain a wealth of other probabilistic activation functions that are yet to be explored. Here we re-engineer the p-bit by decoupling its stochastic signal path from its input data path, giving rise to a modular p-bit that enables the realization of probabilistic neurons (p-neurons) with a range of configurable probabilistic activation functions, including a probabilistic version of the widely used Logistic Sigmoid, Tanh and Rectified Linear Unit (ReLU) activation functions. We present spintronic (CMOS + sMTJ) designs that show wide and tunable probabilistic ranges of operation. Finally, we experimentally implement digital-CMOS versions on an FPGA, with stochastic unit sharing, and demonstrate an order of magnitude (10x) saving in required hardware resources compared to conventional digital p-bit implementations.




Abstract:Delivering an immersive experience to virtual reality (VR) users through wireless connectivity offers the freedom to engage from anywhere at any time. Nevertheless, it is challenging to ensure seamless wireless connectivity that delivers real-time and high-quality videos to the VR users. This paper proposes a field of view (FoV) aware caching for mobile edge computing (MEC)-enabled wireless VR network. In particular, the FoV of each VR user is cached/prefetched at the base stations (BSs) based on the caching strategies tailored to each BS. Specifically, decentralized and personalized federated learning (DP-FL) based caching strategies with guarantees are presented. Considering VR systems composed of multiple VR devices and BSs, a DP-FL caching algorithm is implemented at each BS to personalize content delivery for VR users. The utilized DP-FL algorithm guarantees a probably approximately correct (PAC) bound on the conditional average cache hit. Further, to reduce the cost of communicating gradients, one-bit quantization of the stochastic gradient descent (OBSGD) is proposed, and a convergence guarantee of $\mathcal{O}(1/\sqrt{T})$ is obtained for the proposed algorithm, where $T$ is the number of iterations. Additionally, to better account for the wireless channel dynamics, the FoVs are grouped into multicast or unicast groups based on the number of requesting VR users. The performance of the proposed DP-FL algorithm is validated through realistic VR head-tracking dataset, and the proposed algorithm is shown to have better performance in terms of average delay and cache hit as compared to baseline algorithms.




Abstract:The cost and limited capacity of fronthaul links pose significant challenges for the deployment of ultra-dense networks (UDNs), specifically for cell-free massive MIMO systems. Hence, cost-effective planning of reliable fronthaul networks is crucial for the future deployment of UDNs. We propose an optimization framework for traffic-aware hybrid fronthaul network planning, aimed at minimizing total costs through a mixed-integer linear program (MILP) that considers fiber optics and mmWave, along with optimizing key performance metrics. The results demonstrate superiority of the proposed approach, highlighting the cost-effectiveness and performance advantages when compared to different deployment schemes. Moreover, our results also reveal different trends that are critical for Service Providers (SPs) during the fronthaul planning phase of future-proof networks that can adapt to evolving traffic demands.
Abstract:The development of the sixth generation (6G) of wireless networks is bound to streamline the transition of computation and learning towards the edge of the network. Hierarchical federated learning (HFL) becomes, therefore, a key paradigm to distribute learning across edge devices to reach global intelligence. In HFL, each edge device trains a local model using its respective data and transmits the updated model parameters to an edge server for local aggregation. The edge server, then, transmits the locally aggregated parameters to a central server for global model aggregation. The unreliability of communication channels at the edge and backhaul links, however, remains a bottleneck in assessing the true benefit of HFL-empowered systems. To this end, this paper proposes an unbiased HFL algorithm for unmanned aerial vehicle (UAV)-assisted wireless networks that counteracts the impact of unreliable channels by adjusting the update weights during local and global aggregations at UAVs and terrestrial base stations (BS), respectively. To best characterize the unreliability of the channels involved in HFL, we adopt tools from stochastic geometry to determine the success probabilities of the local and global model parameter transmissions. Accounting for such metrics in the proposed HFL algorithm aims at removing the bias towards devices with better channel conditions in the context of the considered UAV-assisted network.. The paper further examines the theoretical convergence guarantee of the proposed unbiased UAV-assisted HFL algorithm under adverse channel conditions. One of the developed approach's additional benefits is that it allows for optimizing and designing the system parameters, e.g., the number of UAVs and their corresponding heights. The paper results particularly highlight the effectiveness of the proposed unbiased HFL scheme as compared to conventional FL and HFL algorithms.
Abstract:Wireless Federated Learning (FL) is an emerging distributed machine learning paradigm, particularly gaining momentum in domains with confidential and private data on mobile clients. However, the location-dependent performance, in terms of transmission rates and susceptibility to transmission errors, poses major challenges for wireless FL's convergence speed and accuracy. The challenge is more acute for hostile environments without a metric that authenticates the data quality and security profile of the clients. In this context, this paper proposes a novel risk-aware accelerated FL framework that accounts for the clients heterogeneity in the amount of possessed data, transmission rates, transmission errors, and trustworthiness. Classifying clients according to their location-dependent performance and trustworthiness profiles, we propose a dynamic risk-aware global model aggregation scheme that allows clients to participate in descending order of their transmission rates and an ascending trustworthiness constraint. In particular, the transmission rate is the dominant participation criterion for initial rounds to accelerate the convergence speed. Our model then progressively relaxes the transmission rate restriction to explore more training data at cell-edge clients. The aggregation rounds incorporate a debiasing factor that accounts for transmission errors. Risk-awareness is enabled by a validation set, where the base station eliminates non-trustworthy clients at the fine-tuning stage. The proposed scheme is benchmarked against a conservative scheme (i.e., only allowing trustworthy devices) and an aggressive scheme (i.e., oblivious to the trust metric). The numerical results highlight the superiority of the proposed scheme in terms of accuracy and convergence speed when compared to both benchmarks.




Abstract:Closed-loop rate adaptation and error-control depends on the availability of feedback, which is necessary to maintain efficient and reliable wireless links. In the 6G era, many Internet of Things (IoT) devices may not be able to support feedback transmissions due to stringent energy constraints. This calls for new transmission techniques and design paradigms to maintain reliability in feedback-free IoT networks. In this context, this paper proposes a novel open-loop rate adaptation (OLRA) scheme for reliable feedback-free IoT networks. In particular, large packets are fragmented to operate at a reliable transmission rate. Furthermore, transmission of each fragment is repeated several times to improve the probability of successful delivery. Using tools from stochastic geometry and queueing theory, we develop a novel spatiotemporal framework to determine the number of fragments and repetitions needed to optimize the network performance in terms of transmission reliability and latency. To this end, the proposed OLRA is bench-marked against conventional closed-loop rate adaptation (CLRA) to highlight the impact of feedback in large-scale IoT networks. The obtained results concretely quantify the energy saving of the proposed feedback-free OLRA scheme at the cost of transmission reliability reduction and latency increment.




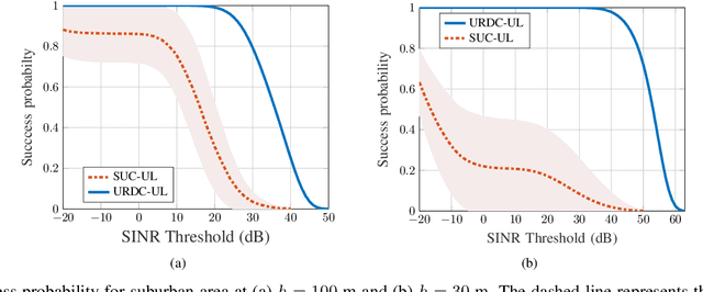
Abstract:This paper proposes an ultra-reliable device-centric uplink (URDC-UL) communication scheme for airborne networks. In particular, base stations (BSs) are mounted on unmanned aerial vehicles (UAVs) that travel to schedule UL transmissions and collect data from devices. To attain an ultra-reliable unified device-centric performance, the UL connection is established when the UAV-BS is hovering at the nearest possible distance from the scheduled device. The performance of the proposed URDC-UL scheme is benchmarked against a stationary UAV-centric uplink (SUC-UL) scheme where the devices are scheduled to communicate to UAV-BSs that are continuously hovering at static locations. Utilizing stochastic geometry and queueing theory, novel spatiotemporal mathematical models are developed, which account for the UAV-BS spatial densities, mobility, altitude, antenna directivity, ground-to-air channel, and temporal traffic, among other factors. The results demonstrate the sensitivity of the URDC-UL scheme to the ratio between hovering and traveling time. In particular, the hovering to traveling time ratio should be carefully adjusted to maximize the harvested performance gains for the URDC-UL scheme in terms of link reliability, transmission rate, energy efficiency, and delay. Exploiting the URDC-UL scheme allows IoT devices to minimize transmission power while maintaining unified reliable transmission. This preserves the device's battery and addresses a critical IoT design challenge.
Abstract:Unmanned aerial vehicles (UAVs) mobility enables flexible and customized federated learning (FL) at the network edge. However, the underlying uncertainties in the aerial-terrestrial wireless channel may lead to a biased FL model. In particular, the distribution of the global model and the aggregation of the local updates within the FL learning rounds at the UAVs are governed by the reliability of the wireless channel. This creates an undesirable bias towards the training data of ground devices with better channel conditions, and vice versa. This paper characterizes the global bias problem of aerial FL in large-scale UAV networks. To this end, the paper proposes a channel-aware distribution and aggregation scheme to enforce equal contribution from all devices in the FL training as a means to resolve the global bias problem. We demonstrate the convergence of the proposed method by experimenting with the MNIST dataset and show its superiority compared to existing methods. The obtained results enable system parameter tuning to relieve the impact of the aerial channel deficiency on the FL convergence rate.




Abstract:Service providers are considering the use of unmanned aerial vehicles (UAVs) to enhance wireless connectivity of cellular networks. To provide connectivity, UAVs have to be backhauled through terrestrial base stations (BSs) to the core network. In particular, we consider millimeter-wave (mmWave) backhauling in the downlink of a hybrid aerial-terrestrial network, where the backhaul links are subject to beamforming misalignment errors. In the proposed model, the user equipment (UE) can connect to either a ground BS or a UAV, where we differentiate between two transmission schemes according to the backhaul status. In one scheme, the UEs are served by the UAVs regardless of whether the backhaul links are good or not. In the other scheme, the UAVs are aware of the backhaul links status, and hence, only the subset of successfully backhauled UAVs can serve the UEs. Using stochastic geometry, the performance of the proposed model is assessed in terms of coverage probability and validated against Monte-Carlo simulations. Several insights are provided for determining some system parameters including the UAVs altitude and required number and the beamforming misalignment error of the backhaul link. The obtained results highlight the impact of the UAVs backhaul link on the UE experience.