Abstract:This work presents an efficient algorithmic framework for real-time identification, classification, and evaluation of human physiotherapy exercises using mobile devices. The proposed method interprets a kinetic movement as a sequence of static poses, which are estimated from camera input using a pose-estimation neural network. Extracted body keypoints are transformed into trigonometric angle-based features and classified with lightweight supervised models to generate frame-level pose predictions and accuracy scores. To recognize full exercise movements and detect deviations from prescribed patterns, we employ a dynamic-programming scheme based on a modified Levenshtein distance algorithm, enabling robust sequence matching and localization of inaccuracies. The system operates entirely on the client side, ensuring scalability and real-time performance. Experimental evaluation demonstrates the effectiveness of the methodology and highlights its applicability to remote physiotherapy supervision and m-health applications.
Abstract:The growing availability of digitized art collections has created the need to manage, analyze and categorize large amounts of data related to abstract concepts, highlighting a demanding problem of computer science and leading to new research perspectives. Advances in artificial intelligence and neural networks provide the right tools for this challenge. The analysis of artworks to extract features useful in certain works is at the heart of the era. In the present work, we approach the problem of painter recognition in a set of digitized paintings, derived from the WikiArt repository, using transfer learning to extract the appropriate features and classical machine learning methods to evaluate the result. Through the testing of various models and their fine tuning we came to the conclusion that RegNet performs better in exporting features, while SVM makes the best classification of images based on the painter with a performance of up to 85%. Also, we introduced a new large dataset for painting recognition task including 62 artists achieving good results.




Abstract:Recognition and classification of Figurative Language (FL) is an open problem of Sentiment Analysis in the broader field of Natural Language Processing (NLP) due to the contradictory meaning contained in phrases with metaphorical content. The problem itself contains three interrelated FL recognition tasks: sarcasm, irony and metaphor which, in the present paper, are dealt with advanced Deep Learning (DL) techniques. First, we introduce a data prepossessing framework towards efficient data representation formats so that to optimize the respective inputs to the DL models. In addition, special features are extracted in order to characterize the syntactic, expressive, emotional and temper content reflected in the respective social media text references. These features aim to capture aspects of the social network user's writing method. Finally, features are fed to a robust, Deep Ensemble Soft Classifier (DESC) which is based on the combination of different DL techniques. Using three different benchmark datasets (one of them containing various FL forms) we conclude that the DESC model achieves a very good performance, worthy of comparison with relevant methodologies and state-of-the-art technologies in the challenging field of FL recognition.




Abstract:Neural Architecture Search (NAS) has recently gained increased attention, as a class of approaches that automatically searches in an input space of network architectures. A crucial part of the NAS pipeline is the encoding of the architecture that consists of the applied computational blocks, namely the operations and the links between them. Most of the existing approaches either fail to capture the structural properties of the architectures or use a hand-engineered vector to encode the operator information. In this paper, we propose the replacement of fixed operator encoding with learnable representations in the optimization process. This approach, which effectively captures the relations of different operations, leads to smoother and more accurate representations of the architectures and consequently to improved performance of the end task. Our extensive evaluation in ENAS benchmark demonstrates the effectiveness of the proposed operation embeddings to the generation of highly accurate models, achieving state-of-the-art performance. Finally, our method produces top-performing architectures that share similar operation and graph patterns, highlighting a strong correlation between architecture's structural properties and performance.




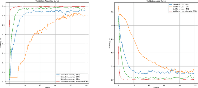
Abstract:This paper introduces the Class-wise Principal Component Analysis, a supervised feature extraction method for hyperspectral data. Hyperspectral Imaging (HSI) has appeared in various fields in recent years, including Remote Sensing. Realizing that information extraction tasks for hyperspectral images are burdened by data-specific issues, we identify and address two major problems. Those are the Curse of Dimensionality which occurs due to the high-volume of the data cube and the class imbalance problem which is common in hyperspectral datasets. Dimensionality reduction is an essential preprocessing step to complement a hyperspectral image classification task. Therefore, we propose a feature extraction algorithm for dimensionality reduction, based on Principal Component Analysis (PCA). Evaluations are carried out on the Indian Pines dataset to demonstrate that significant improvements are achieved when using the reduced data in a classification task.




Abstract:Figurative Language (FL) seems ubiquitous in all social-media discussion forums and chats, posing extra challenges to sentiment analysis endeavors. Identification of FL schemas in short texts remains largely an unresolved issue in the broader field of Natural Language Processing (NLP), mainly due to their contradictory and metaphorical meaning content. The main FL expression forms are sarcasm, irony and metaphor. In the present paper we employ advanced Deep Learning (DL) methodologies to tackle the problem of identifying the aforementioned FL forms. Significantly extending our previous work [71], we propose a neural network methodology that builds on a recently proposed pre-trained transformer-based network architecture which, is further enhanced with the employment and devise of a recurrent convolutional neural network (RCNN). With this set-up, data preprocessing is kept in minimum. The performance of the devised hybrid neural architecture is tested on four benchmark datasets, and contrasted with other relevant state of the art methodologies and systems. Results demonstrate that the proposed methodology achieves state of the art performance under all benchmark datasets, outperforming, even by a large margin, all other methodologies and published studies.