Abstract:This paper investigates the application of Index Modulation (IM) to Modulation on Conjugate-Reciprocal Zeros (MOCZ) to enhance spectral efficiency (SE) in short packet communications. The proposed IM-MOCZ scheme splits an $N$-bit message into two streams: $N-K$ bits select one of $2^{N-K}$ uniquely designed codebooks, while the remaining $K$ bits are transmitted with conventional MOCZ using the selected codebook. At the receiver, Root Finding Minimum Distance (RFMD) and Direct Zero-Testing (DiZeT) detectors evaluate all candidate codebooks and compute penalty metrics, with a majority-vote rule selecting the most confident codebook and recovering the transmitted message. The proposed IM-MOCZ provides higher SE gains than conventional MOCZ, and simulations demonstrate improved bit error rate (BER) performance for larger $K$ relative to $N$.
Abstract:In this paper, we propose a spectral-efficient LoRa (SE-LoRa) modulation scheme with a low complexity successive interference cancellation (SIC)-based detector. The proposed communication scheme significantly improves the spectral efficiency of LoRa modulation, while achieving an acceptable error performance compared to conventional LoRa modulation, especially in higher spreading factor (SF) settings. We derive the joint maximum likelihood (ML) detection rule for the SE-LoRa transmission scheme that turns out to be of high computational complexity. To overcome this issue, and by exploiting the frequency-domain characteristics of the dechirped SE-LoRa signal, we propose a low complexity SIC-based detector with a computation complexity at the order of conventional LoRa detection. By computer simulations, we show that the proposed SE-LoRa with low complexity SIC-based detector can improve the spectral efficiency of LoRa modulation up to $445.45\%$, $1011.11\%$, and $1071.88\%$ for SF values of $7$, $9$, and $11$, respectively, while maintaining the error performance within less than $3$ dB of conventional LoRa at symbol error rate (SER) of $10^{-3}$ in Rician channel conditions.




Abstract:This paper proposes a novel preamble design and detection method for multiuser asynchronous massive MIMO LoRa networks. Unlike existing works, which only consider the preamble detection for a single target end devices (ED), we proposed to simultaneously detect the preambles of multiple EDs that asynchronously transmit their uplink (UL) packets to a multiple-antenna gateway (GW). First we show that the preamble detection in multiuser LoRa networks with the conventional single-chirp preamble suffers from the so-called preamble resemblance effect. This means that the preamble of any single ED can resemble the preambles of all EDs in the network, and make it impossible to determine to which ED a preamble belongs. To address this problem, a novel double-chirp preamble design and a preamble assignment method are proposed, which can mitigate the preamble resemblance effect by making the preamble of each ED unique and recognizable. Next, a maximum-likelihood (ML) based detection scheme for the proposed double-chirp preamble is derived. Finally, since the proposed algorithm requires the calculation of the discrete Fourier transform (DFT) every sampling period, we proposed a low-complexity technique to calculate the DFT recursively to reduce the complexity of our proposed design. Simulation shows that the proposed preamble detection design and detection requires just about 2 dB more power to increase the number of EDs from one to 15 in the Rayleigh fading channel while achieving the same preamble detection error performance.




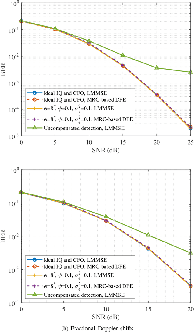
Abstract:Affine frequency division multiplexing (AFDM) is a promising waveform for future wireless communication systems. In this paper, we analyze the impact of receiver in-phase and quadrature (IQ) imbalance and residual carrier frequency offset (CFO) error on AFDM signals. Our analysis shows that the receiver IQ imbalance may not preserve the sparsity of the AFDM effective channel matrix because of the complex-conjugate operator of the discrete affine Fourier transform (DAFT). Moreover, the residual CFO error causes energy leakage in the effective channel matrix in the affine domain. To mitigate these effects, we extend the linear minimum mean-square error (LMMSE) detector to handle the improper Gaussian noise arising from the receiver IQ imbalance. Simulation results demonstrate that the proposed LMMSE detector effectively compensates for the receiver hardware impairments.
Abstract:Affine frequency division multiplexing (AFDM) is a chirp-based multicarrier waveform that was recently proposed for communication over doubly dispersive channels. Given its chirp nature, AFDM is expected to have superior sensing capabilities compared to orthogonal frequency division multiplexing (OFDM) and is thus a promising candidate for integrated sensing and communication (ISAC) applications. In this paper, we derive a closed-form expression for the ambiguity function of AFDM waveforms modulated with $M$-ary quadrature amplitude modulation (QAM) data symbols. We determine the condition on the chirp rate of the AFDM waveform that minimizes the sidelobes in the delay/range domain in the presence of random $M$-ary QAM symbols, thereby improving overall sensing performance. Additionally, we find an approximate statistical distribution for the magnitude of the derived ambiguity function. Simulation results are presented to evaluate the sensing performance of the AFDM waveform for various system parameters and to compare its peak-to-sidelobe ratio (PSLR) and integrated sidelobe ratio (ISLR) with those of OFDM.




Abstract:This paper investigates doubly-selective (i.e., time- and frequency-selective) channel estimation in faster-than-Nyquist (FTN) signaling HF communications. In particular, we propose a novel IM-based channel estimation algorithm for FTN signaling HF communications including pilot sequence placement (PSP) and pilot sequence location identification (PSLI) algorithms. At the transmitter, we propose the PSP algorithm that utilizes the locations of pilot sequences to carry additional information bits, thereby improving the SE of HF communications. HF channels have two non-zero independent fading paths with specific fixed delay spread and frequency spread characteristics as outlined in the Union Radio communication Sector (ITU-R) F.1487 and F.520. Having said that, based on the aforementioned properties of the HF channels and the favorable auto-correlation characteristics of the optimal pilot sequence, we propose a novel PSLI algorithm that effectively identifies the pilot sequence location within a given frame at the receiver. This is achieved by showing that the square of the absolute value of the cross-correlation between the received symbols and the pilot sequence consists of a scaled version of the square of the absolute value of the auto-correlation of the pilot sequence weighted by the gain of the corresponding HF channel path. Simulation results show very low pilot sequence location identification errors for HF channels. Our simulation results show a 6 dB improvement in the MSE of the channel estimation as well as about 3.5 dB BER improvement of FTN signaling along with an enhancement in SE compared to the method in [1]. We also achieved an enhancement in SE compared to the work in [2] while maintaining comparable MSE of the channel estimation and BER performance.




Abstract:Chirps spread spectrum (CSS) modulation is the heart of long-range (LoRa) modulation used in the context of long-range wide area network (LoRaWAN) in internet of things (IoT) scenarios. Despite being a proprietary technology owned by Semtech Corp., LoRa modulation has drawn much attention from the research and industry communities in recent years. However, to the best of our knowledge, a comprehensive tutorial, investigating the CSS modulation in the LoRaWAN application, is missing in the literature. Therefore, in the first part of this paper, we provide a thorough analysis and tutorial of CSS modulation modified by LoRa specifications, discussing various aspects such as signal generation, detection, error performance, and spectral characteristics. Moreover, a summary of key recent advances in the context of CSS modulation applications in IoT networks is presented in the second part of this paper under four main categories of transceiver configuration and design, data rate improvement, interference modeling, and synchronization algorithms.
Abstract:In the domain of Federated Learning (FL) systems, recent cutting-edge methods heavily rely on ideal conditions convergence analysis. Specifically, these approaches assume that the training datasets on IoT devices possess similar attributes to the global data distribution. However, this approach fails to capture the full spectrum of data characteristics in real-time sensing FL systems. In order to overcome this limitation, we suggest a new approach system specifically designed for IoT networks with real-time sensing capabilities. Our approach takes into account the generalization gap due to the user's data sampling process. By effectively controlling this sampling process, we can mitigate the overfitting issue and improve overall accuracy. In particular, We first formulate an optimization problem that harnesses the sampling process to concurrently reduce overfitting while maximizing accuracy. In pursuit of this objective, our surrogate optimization problem is adept at handling energy efficiency while optimizing the accuracy with high generalization. To solve the optimization problem with high complexity, we introduce an online reinforcement learning algorithm, named Sample-driven Control for Federated Learning (SCFL) built on the Soft Actor-Critic (A2C) framework. This enables the agent to dynamically adapt and find the global optima even in changing environments. By leveraging the capabilities of SCFL, our system offers a promising solution for resource allocation in FL systems with real-time sensing capabilities.




Abstract:Being capable of enhancing the spectral efficiency (SE), faster-than-Nyquist (FTN) signaling is a promising approach for wireless communication systems. This paper investigates the doubly-selective (i.e., time- and frequency-selective) channel estimation and data detection of FTN signaling. We consider the intersymbol interference (ISI) resulting from both the FTN signaling and the frequency-selective channel and adopt an efficient frame structure with reduced overhead. We propose a novel channel estimation technique of FTN signaling based on the least sum of squared errors (LSSE) approach to estimate the complex channel coefficients at the pilot locations within the frame. In particular, we find the optimal pilot sequence that minimizes the mean square error (MSE) of the channel estimation. To address the time-selective nature of the channel, we use a low-complexity linear interpolation to track the complex channel coefficients at the data symbols locations within the frame. To detect the data symbols of FTN signaling, we adopt a turbo equalization technique based on a linear soft-input soft-output (SISO) minimum mean square error (MMSE) equalizer. Simulation results show that the MSE of the proposed FTN signaling channel estimation employing the designed optimal pilot sequence is lower than its counterpart designed for conventional Nyquist transmission. The bit error rate (BER) of the FTN signaling employing the proposed optimal pilot sequence shows improvement compared to the FTN signaling employing the conventional Nyquist pilot sequence. Additionally, for the same SE, the proposed FTN signaling channel estimation employing the designed optimal pilot sequence shows better performance when compared to competing techniques from the literature.




Abstract:In this paper, we propose a novel multi-symbol unitary constellation structure for non-coherent single-input multiple-output (SIMO) communications over block Rayleigh fading channels. To facilitate the design and the detection of large unitary constellations at reduced complexity, the proposed constellations are constructed as the Cartesian product of independent amplitude and phase-shift-keying (PSK) vectors, and hence, can be iteratively detected. The amplitude vector can be detected by exhaustive search, whose complexity is still sufficiently low in short packet transmissions. For detection of the PSK vector, we adopt a maximum-A-posteriori (MAP) criterion to improve the reliability of the sorted decision-feedback differential detection (sort-DFDD), which results in near-optimal error performance in the case of the same modulation order of the transmit PSK symbols at different time slots. This detector is called MAP-based-reliability-sort-DFDD (MAP-R-sort-DFDD) and has polynomial complexity. For the case of different modulation orders at different time slots, we observe that undetected symbols with lower modulation orders have a significant impact on the detection of PSK symbols with higher modulation orders. We exploit this observation and propose an improved detector called improved-MAP-R-sort-DFDD, which approaches the optimal error performance with polynomial time complexity. Simulation results show the merits of our proposed multi-symbol unitary constellation when compared to competing low-complexity unitary constellations.