



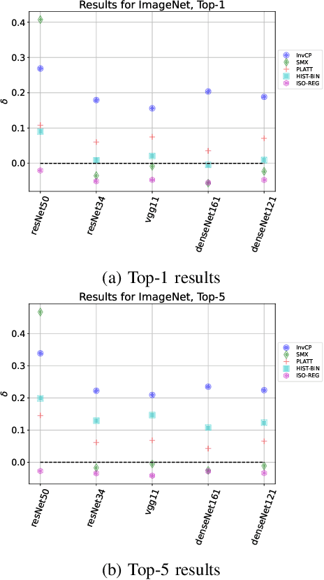
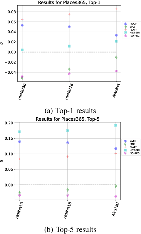
Abstract:Advanced classification algorithms are being increasingly used in safety-critical applications like health-care, engineering, etc. In such applications, miss-classifications made by ML algorithms can result in substantial financial or health-related losses. To better anticipate and prepare for such losses, the algorithm user seeks an estimate for the probability that the algorithm miss-classifies a sample. We refer to this task as the risk-assessment. For a variety of models and datasets, we numerically analyze the performance of different methods in solving the risk-assessment problem. We consider two solution strategies: a) calibration techniques that calibrate the output probabilities of classification models to provide accurate probability outputs; and b) a novel approach based upon the prediction interval generation technique of conformal prediction. Our conformal prediction based approach is model and data-distribution agnostic, simple to implement, and provides reasonable results for a variety of use-cases. We compare the different methods on a broad variety of models and datasets.

Abstract:Recommender systems have become crucial in the modern digital landscape, where personalized content, products, and services are essential for enhancing user experience. This paper explores statistical models for recommender systems, focusing on crossed random effects models and factor analysis. We extend the crossed random effects model to include random slopes, enabling the capture of varying covariate effects among users and items. Additionally, we investigate the use of factor analysis in recommender systems, particularly for settings with incomplete data. The paper also discusses scalable solutions using the Expectation Maximization (EM) and variational EM algorithms for parameter estimation, highlighting the application of these models to predict user-item interactions effectively.