Abstract:Iterative reconstruction technique's ability to reduce radiation exposure by using fewer projections has attracted significant attention. However, these methods typically require a precise tuning of several hyperparameters, which can have a major impact on reconstruction quality. Manually setting these parameters is time-consuming and increases the workload for human operators. In this paper, we introduce a novel fully automatic parameter optimization framework that can be applied to a wide range of Cone-beam computed tomography (CBCT) iterative reconstruction algorithms to determine optimal parameters without requiring a reference reconstruction. The proposed method incorporates a modified crow search algorithm (CSA) featuring a superior set-dependent local search mechanism, a search-space-aware global search strategy, and an objective-driven balance between local and global search. Additionally, to ensure an effective initial population, we propose a chaotic diagonal linear uniform initialization scheme that accelerates algorithm convergence. The performance of the proposed framework was evaluated on three imaging machines and four real datasets, as well as three different iterative reconstruction methods with the highest number of tunable parameters, representing the most challenging senario. The results indicate that the proposed method could outperform manual settings and CSA, with an 4.19% improvement in average fitness and 4.89% and 3.82% improvements on CHILL@UK and RPI_AXIS, respectively, which are two benchmark no-reference learning-based quality metrics. In addition, the qualitative results clearly show the superiority of the proposed method by maintaining fine details sharply. The overall performance of the proposed framework across different comparison scenarios demonstrates its effectiveness and robustness across all cases.




Abstract:When developing machine learning models, image quality assessment (IQA) measures are a crucial component for evaluation. However, commonly used IQA measures have been primarily developed and optimized for natural images. In many specialized settings, such as medical images, this poses an often-overlooked problem regarding suitability. In previous studies, the IQA measure HaarPSI showed promising behavior for natural and medical images. HaarPSI is based on Haar wavelet representations and the framework allows optimization of two parameters. So far, these parameters have been aligned for natural images. Here, we optimize these parameters for two annotated medical data sets, a photoacoustic and a chest X-Ray data set. We observe that they are more sensitive to the parameter choices than the employed natural images, and on the other hand both medical data sets lead to similar parameter values when optimized. We denote the optimized setting, which improves the performance for the medical images notably, by HaarPSI$_{MED}$. The results suggest that adapting common IQA measures within their frameworks for medical images can provide a valuable, generalizable addition to the employment of more specific task-based measures.




Abstract:Image quality assessment (IQA) is not just indispensable in clinical practice to ensure high standards, but also in the development stage of novel algorithms that operate on medical images with reference data. This paper provides a structured and comprehensive collection of examples where the two most common full reference (FR) image quality measures prove to be unsuitable for the assessment of novel algorithms using different kinds of medical images, including real-world MRI, CT, OCT, X-Ray, digital pathology and photoacoustic imaging data. In particular, the FR-IQA measures PSNR and SSIM are known and tested for working successfully in many natural imaging tasks, but discrepancies in medical scenarios have been noted in the literature. Inconsistencies arising in medical images are not surprising, as they have very different properties than natural images which have not been targeted nor tested in the development of the mentioned measures, and therefore might imply wrong judgement of novel methods for medical images. Therefore, improvement is urgently needed in particular in this era of AI to increase explainability, reproducibility and generalizability in machine learning for medical imaging and beyond. On top of the pitfalls we will provide ideas for future research as well as suggesting guidelines for the usage of FR-IQA measures applied to medical images.




Abstract:Image quality assessment (IQA) is standard practice in the development stage of novel machine learning algorithms that operate on images. The most commonly used IQA measures have been developed and tested for natural images, but not in the medical setting. Reported inconsistencies arising in medical images are not surprising, as they have different properties than natural images. In this study, we test the applicability of common IQA measures for medical image data by comparing their assessment to manually rated chest X-ray (5 experts) and photoacoustic image data (1 expert). Moreover, we include supplementary studies on grayscale natural images and accelerated brain MRI data. The results of all experiments show a similar outcome in line with previous findings for medical imaging: PSNR and SSIM in the default setting are in the lower range of the result list and HaarPSI outperforms the other tested measures in the overall performance. Also among the top performers in our medical experiments are the full reference measures DISTS, FSIM, LPIPS and MS-SSIM. Generally, the results on natural images yield considerably higher correlations, suggesting that the additional employment of tailored IQA measures for medical imaging algorithms is needed.




Abstract:We present a novel clustering algorithm, visClust, that is based on lower dimensional data representations and visual interpretation. Thereto, we design a transformation that allows the data to be represented by a binary integer array enabling the further use of image processing methods to select a partition. Qualitative and quantitative analyses show that the algorithm obtains high accuracy (measured with an adjusted one-sided Rand-Index) and requires low runtime and RAM. We compare the results to 6 state-of-the-art algorithms, confirming the quality of visClust by outperforming in most experiments. Moreover, the algorithm asks for just one obligatory input parameter while allowing optimization via optional parameters. The code is made available on GitHub.




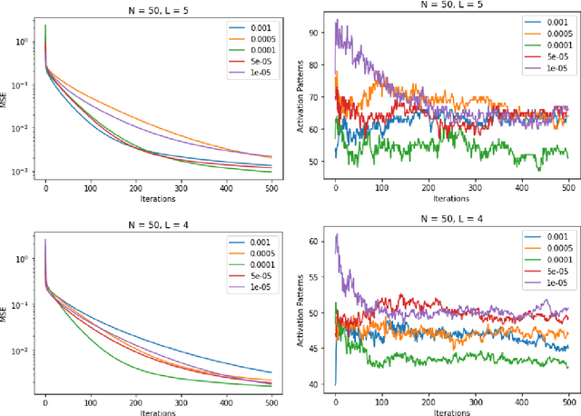
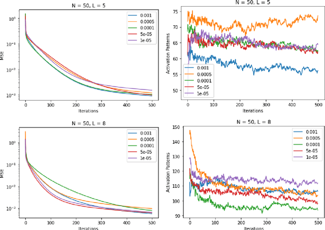
Abstract:We study the training of deep neural networks by gradient descent where floating-point arithmetic is used to compute the gradients. In this framework and under realistic assumptions, we demonstrate that it is highly unlikely to find ReLU neural networks that maintain, in the course of training with gradient descent, superlinearly many affine pieces with respect to their number of layers. In virtually all approximation theoretical arguments which yield high order polynomial rates of approximation, sequences of ReLU neural networks with exponentially many affine pieces compared to their numbers of layers are used. As a consequence, we conclude that approximating sequences of ReLU neural networks resulting from gradient descent in practice differ substantially from theoretically constructed sequences. The assumptions and the theoretical results are compared to a numerical study, which yields concurring results.