


Abstract:We present a prototype hybrid prediction market and demonstrate the avenue it represents for meaningful human-AI collaboration. We build on prior work proposing artificial prediction markets as a novel machine-learning algorithm. In an artificial prediction market, trained AI agents buy and sell outcomes of future events. Classification decisions can be framed as outcomes of future events, and accordingly, the price of an asset corresponding to a given classification outcome can be taken as a proxy for the confidence of the system in that decision. By embedding human participants in these markets alongside bot traders, we can bring together insights from both. In this paper, we detail pilot studies with prototype hybrid markets for the prediction of replication study outcomes. We highlight challenges and opportunities, share insights from semi-structured interviews with hybrid market participants, and outline a vision for ongoing and future work.




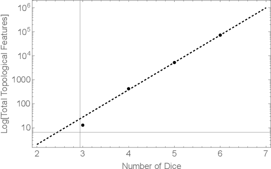
Abstract:Machine learning has become a fundamental tool in modern science, yet its limitations are still not fully understood. Using a simple children's game, we show that the topological structure of the underlying training data can have a dramatic effect on the ability of a deep neural network (DNN) classifier to learn to classify data. We then take insights obtained from this toy model and apply them to two physical data sets (one from particle physics and one from acoustics), which are known to be amenable to classification by DNN's. We show that the simplicity in their topological structure explains the majority of the DNN's ability to operate on these data sets by showing that fully interpretable topological classifiers are able to perform nearly as well as their DNN counterparts.

Abstract:Explainably estimating confidence in published scholarly work offers opportunity for faster and more robust scientific progress. We develop a synthetic prediction market to assess the credibility of published claims in the social and behavioral sciences literature. We demonstrate our system and detail our findings using a collection of known replication projects. We suggest that this work lays the foundation for a research agenda that creatively uses AI for peer review.




Abstract:We present a synthetic prediction market whose agent purchase logic is defined using a sigmoid transformation of a convex semi-algebraic set defined in feature space. Asset prices are determined by a logarithmic scoring market rule. Time varying asset prices affect the structure of the semi-algebraic sets leading to time-varying agent purchase rules. We show that under certain assumptions on the underlying geometry, the resulting synthetic prediction market can be used to arbitrarily closely approximate a binary function defined on a set of input data. We also provide sufficient conditions for market convergence and show that under certain instances markets can exhibit limit cycles in asset spot price. We provide an evolutionary algorithm for training agent parameters to allow a market to model the distribution of a given data set and illustrate the market approximation using two open source data sets. Results are compared to standard machine learning methods.




Abstract:In this paper we develop a kernel density estimation (KDE) approach to modeling and forecasting recurrent trajectories on a compact manifold. For the purposes of this paper, a trajectory is a sequence of coordinates in a phase space defined by an underlying hidden dynamical system. Our work is inspired by earlier work on the use of KDE to detect shipping anomalies using high-density, high-quality automated information system (AIS) data as well as our own earlier work in trajectory modeling. We focus specifically on the sparse, noisy trajectory reconstruction problem in which the data are (i) sparsely sampled and (ii) subject to an imperfect observer that introduces noise. Under certain regularity assumptions, we show that the constructed estimator minimizes a specific energy function defined over the trajectory as the number of samples obtained grows.