Abstract:Accurate forward modelling is essential for non-invasive cardiac electrophysiology, particularly in atrial fibrillation, where electrical activation is highly disorganised. Conventional physics-based forward models require explicit specification of intracellular conductivity tensors, which are not directly measurable in clinical practice and introduce structural modelling errors. This proof-of-concept study presents a deep learning approach that learns a direct mapping from left atrial intracellular electrical potentials to far-field ECGs without requiring explicit intracellular conductivity inputs at inference time. Despite training only on 74 subjects, the model achieved an R2 of 0.949 \pm 0.037, highlighting potential to reduce structural uncertainty and improve non-invasive AF assessment.



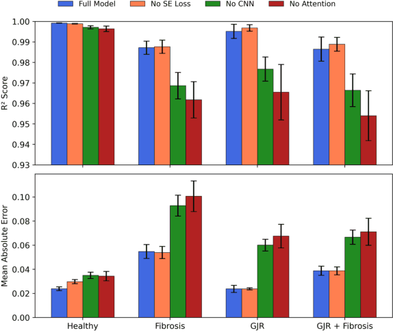
Abstract:The forward problem in electrocardiology, computing body surface potentials from cardiac electrical activity, is traditionally solved using physics-based models such as the bidomain or monodomain equations. While accurate, these approaches are computationally expensive, limiting their use in real-time and large-scale clinical applications. We propose a proof-of-concept deep learning (DL) framework as an efficient surrogate for forward solvers. The model adopts a time-dependent, attention-based sequence-to-sequence architecture to predict electrocardiogram (ECG) signals from cardiac voltage propagation maps. A hybrid loss combining Huber loss with a spectral entropy term was introduced to preserve both temporal and frequency-domain fidelity. Using 2D tissue simulations incorporating healthy, fibrotic, and gap junction-remodelled conditions, the model achieved high accuracy (mean $R^2 = 0.99 \pm 0.01$). Ablation studies confirmed the contributions of convolutional encoders, time-aware attention, and spectral entropy loss. These findings highlight DL as a scalable, cost-effective alternative to physics-based solvers, with potential for clinical and digital twin applications.



Abstract:This paper presents the use of Multi-Agent Reinforcement Learning (MARL) to perform navigation in 3D anatomical volumes from medical imaging. We utilize Neural Style Transfer to create synthetic Computed Tomography (CT) agent gym environments and assess the generalization capabilities of our agents to clinical CT volumes. Our framework does not require any labelled clinical data and integrates easily with several image translation techniques, enabling cross modality applications. Further, we solely condition our agents on 2D slices, breaking grounds for 3D guidance in much more difficult imaging modalities, such as ultrasound imaging. This is an important step towards user guidance during the acquisition of standardised diagnostic view planes, improving diagnostic consistency and facilitating better case comparison.