



Abstract:Conducting experiments with objectives that take significant delays to materialize (e.g. conversions, add-to-cart events, etc.) is challenging. Although the classical "split sample testing" is still valid for the delayed feedback, the experiment will take longer to complete, which also means spending more resources on worse-performing strategies due to their fixed allocation schedules. Alternatively, adaptive approaches such as "multi-armed bandits" are able to effectively reduce the cost of experimentation. But these methods generally cannot handle delayed objectives directly out of the box. This paper presents an adaptive experimentation solution tailored for delayed binary feedback objectives by estimating the real underlying objectives before they materialize and dynamically allocating variants based on the estimates. Experiments show that the proposed method is more efficient for delayed feedback compared to various other approaches and is robust in different settings. In addition, we describe an experimentation product powered by this algorithm. This product is currently deployed in the online experimentation platform of JD.com, a large e-commerce company and a publisher of digital ads.




Abstract:In e-commerce platforms, sponsored and non-sponsored content are jointly displayed to users and both may interactively influence their engagement behavior. The former content helps advertisers achieve their marketing goals and provides a stream of ad revenue to the platform. The latter content contributes to users' engagement with the platform, which is key to its long-term health. A burning issue for e-commerce platform design is how to blend advertising with content in a way that respects these interactions and balances these multiple business objectives. This paper describes a system developed for this purpose in the context of blending personalized sponsored content with non-sponsored content on the product detail pages of JD.COM, an e-commerce company. This system has three key features: (1) Optimization of multiple competing business objectives through a new virtual bids approach and the expressiveness of the latent, implicit valuation of the platform for the multiple objectives via these virtual bids. (2) Modeling of users' click behavior as a function of their characteristics, the individual characteristics of each sponsored content and the influence exerted by other sponsored and non-sponsored content displayed alongside through a deep learning approach; (3) Consideration of externalities in the allocation of ads, thereby making it directly compatible with a Vickrey-Clarke-Groves (VCG) auction scheme for the computation of payments in the presence of these externalities. The system is currently deployed and serving all traffic through JD.COM's mobile application. Experiments demonstrating the performance and advantages of the system are presented.




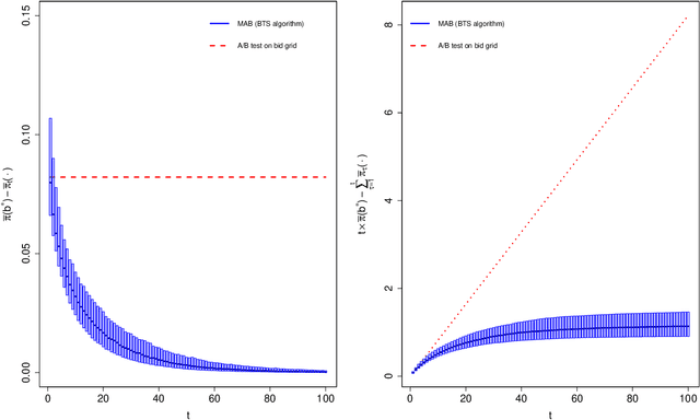
Abstract:Advertisers that engage in real-time bidding (RTB) to display their ads commonly have two goals: learning their optimal bidding policy and estimating the expected effect of exposing users to their ads. Typical strategies to accomplish one of these goals tend to ignore the other, creating an apparent tension between the two. This paper exploits the economic structure of the bid optimization problem faced by advertisers to show that these two objectives can actually be perfectly aligned. By framing the advertiser's problem as a multi-armed bandit (MAB) problem, we propose a modified Thompson Sampling (TS) algorithm that concurrently learns the optimal bidding policy and estimates the expected effect of displaying the ad while minimizing economic losses from potential sub-optimal bidding. Simulations show that not only the proposed method successfully accomplishes the advertiser's goals, but also does so at a much lower cost than more conventional experimentation policies aimed at performing causal inference.