



Abstract:Orthogonal Frequency Division Multiplexing (OFDM)-based waveforms are used for communication links in many current and emerging Internet of Things (IoT) applications, including the latest WiFi standards. For such OFDM-based transceivers, many core physical layer functions related to channel estimation, demapping, and decoding are implemented for specific choices of channel types and modulation schemes, among others. To decouple hard-wired choices from the receiver chain and thereby enhance the flexibility of IoT deployment in many novel scenarios without changing the underlying hardware, we explore a novel, modular Machine Learning (ML)-based receiver chain design. Here, ML blocks replace the individual processing blocks of an OFDM receiver, and we specifically describe this swapping for the legacy channel estimation, symbol demapping, and decoding blocks with Neural Networks (NNs). A unique aspect of this modular design is providing flexible allocation of processing functions to the legacy or ML blocks, allowing them to interchangeably coexist. Furthermore, we study the implementation cost-benefits of the proposed NNs in resource-constrained IoT devices through pruning and quantization, as well as emulation of these compressed NNs within Field Programmable Gate Arrays (FPGAs). Our evaluations demonstrate that the proposed modular NN-based receiver improves bit error rate of the traditional non-ML receiver by averagely 61% and 10% for the simulated and over-the-air datasets, respectively. We further show complexity-performance tradeoffs by presenting computational complexity comparisons between the traditional algorithms and the proposed compressed NNs.





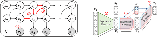
Abstract:Learning representations through deep generative modeling is a powerful approach for dynamical modeling to discover the most simplified and compressed underlying description of the data, to then use it for other tasks such as prediction. Most learning tasks have intrinsic symmetries, i.e., the input transformations leave the output unchanged, or the output undergoes a similar transformation. The learning process is, however, usually uninformed of these symmetries. Therefore, the learned representations for individually transformed inputs may not be meaningfully related. In this paper, we propose an SO(3) equivariant deep dynamical model (EqDDM) for motion prediction that learns a structured representation of the input space in the sense that the embedding varies with symmetry transformations. EqDDM is equipped with equivariant networks to parameterize the state-space emission and transition models. We demonstrate the superior predictive performance of the proposed model on various motion data.




Abstract:We propose an epidemic analysis framework for the outbreak prediction in the livestock industry, focusing on the study of the most costly and viral infectious disease in the swine industry -- the PRRS virus. Using this framework, we can predict the PRRS outbreak in all farms of a swine production system by capturing the spatio-temporal dynamics of infection transmission based on the intra-farm pig-level virus transmission dynamics, and inter-farm pig shipment network. We simulate a PRRS infection epidemic based on the shipment network and the SEIR epidemic model using the statistics extracted from real data provided by the swine industry. We develop a hierarchical factorized deep generative model that approximates high dimensional data by a product between time-dependent weights and spatially dependent low dimensional factors to perform per farm time series prediction. The prediction results demonstrate the ability of the model in forecasting the virus spread progression with average error of NRMSE = 2.5\%.





Abstract:Despite the vast success of standard planar convolutional neural networks, they are not the most efficient choice for analyzing signals that lie on an arbitrarily curved manifold, such as a cylinder. The problem arises when one performs a planar projection of these signals and inevitably causes them to be distorted or broken where there is valuable information. We propose a Circular-symmetric Correlation Layer (CCL) based on the formalism of roto-translation equivariant correlation on the continuous group $S^1 \times \mathbb{R}$, and implement it efficiently using the well-known Fast Fourier Transform (FFT) algorithm. We showcase the performance analysis of a general network equipped with CCL on various recognition and classification tasks and datasets. The PyTorch package implementation of CCL is provided online.





Abstract:We introduce deep switching auto-regressive factorization (DSARF), a deep generative model for spatio-temporal data with the capability to unravel recurring patterns in the data and perform robust short- and long-term predictions. Similar to other factor analysis methods, DSARF approximates high dimensional data by a product between time dependent weights and spatially dependent factors. These weights and factors are in turn represented in terms of lower dimensional latent variables that are inferred using stochastic variational inference. DSARF is different from the state-of-the-art techniques in that it parameterizes the weights in terms of a deep switching vector auto-regressive likelihood governed with a Markovian prior, which is able to capture the non-linear inter-dependencies among weights to characterize multimodal temporal dynamics. This results in a flexible hierarchical deep generative factor analysis model that can be extended to (i) provide a collection of potentially interpretable states abstracted from the process dynamics, and (ii) perform short- and long-term vector time series prediction in a complex multi-relational setting. Our extensive experiments, which include simulated data and real data from a wide range of applications such as climate change, weather forecasting, traffic, infectious disease spread and nonlinear physical systems attest the superior performance of DSARF in terms of long- and short-term prediction error, when compared with the state-of-the-art methods.
