Abstract:We generalize the framework of Fredholm Neural Networks, to learn non-expansive integral operators arising in Fredholm Integral Equations (FIEs) of the second kind in arbitrary dimensions. We first present the proposed Fredholm Integral Neural Operators (FREDINOs), for FIEs and prove that they are universal approximators of linear and non-linear integral operators and corresponding solution operators. We furthermore prove that the learned operators are guaranteed to be contractive, thereby strictly satisfying the mathematical property required for the convergence of the fixed point scheme. Finally, we also demonstrate how FREDINOs can be used to learn the solution operator of non-linear elliptic PDEs, via a Boundary Integral Equation (BIE) formulation. We assess the proposed methodology numerically, via several benchmark problems: linear and non-linear FIEs in arbitrary dimensions, as well as a non-linear elliptic PDE in 2D. Built on tailored mathematical/numerical analysis theory, FREDINOs offer high-accuracy approximations and interpretable schemes, making them well suited for scientific machine learning/numerical analysis computations.
Abstract:This work investigates the problem of model averaging in the context of measure-valued data. Specifically, we study aggregation schemes in the space of probability distributions metrized in terms of the Wasserstein distance. The resulting aggregate models, defined via Wasserstein barycenters, are optimally calibrated to empirical data. To enhance model performance, we employ regularization schemes motivated by the standard elastic net penalization, which is shown to consistently yield models enjoying sparsity properties. The consistency properties of the proposed averaging schemes with respect to sample size are rigorously established using the variational framework of $\Gamma$-convergence. The performance of the methods is evaluated through carefully designed synthetic experiments that assess behavior across a range of distributional characteristics and stress conditions. Finally, the proposed approach is applied to a real-world dataset of insurance losses - characterized by heavy-tailed behavior - to estimate the claim size distribution and the associated tail risk.
Abstract:Building on our previous work introducing Fredholm Neural Networks (Fredholm NNs/ FNNs) for solving integral equations, we extend the framework to tackle forward and inverse problems for linear and semi-linear elliptic partial differential equations. The proposed scheme consists of a deep neural network (DNN) which is designed to represent the iterative process of fixed-point iterations for the solution of elliptic PDEs using the boundary integral method within the framework of potential theory. The number of layers, weights, biases and hyperparameters are computed in an explainable manner based on the iterative scheme, and we therefore refer to this as the Potential Fredholm Neural Network (PFNN). We show that this approach ensures both accuracy and explainability, achieving small errors in the interior of the domain, and near machine-precision on the boundary. We provide a constructive proof for the consistency of the scheme and provide explicit error bounds for both the interior and boundary of the domain, reflected in the layers of the PFNN. These error bounds depend on the approximation of the boundary function and the integral discretization scheme, both of which directly correspond to components of the Fredholm NN architecture. In this way, we provide an explainable scheme that explicitly respects the boundary conditions. We assess the performance of the proposed scheme for the solution of both the forward and inverse problem for linear and semi-linear elliptic PDEs in two dimensions.




Abstract:We present a stability analysis of Physics-Informed Neural Networks (PINNs) coupled with random projections, for the numerical solution of (stiff) linear differential equations. For our analysis, we consider systems of linear ODEs, and linear parabolic PDEs. We prove that properly designed PINNs offer consistent and asymptotically stable numerical schemes, thus convergent schemes. In particular, we prove that multi-collocation random projection PINNs guarantee asymptotic stability for very high stiffness and that single-collocation PINNs are $A$-stable. To assess the performance of the PINNs in terms of both numerical approximation accuracy and computational cost, we compare it with other implicit schemes and in particular backward Euler, the midpoint, trapezoidal (Crank-Nikolson), the 2-stage Gauss scheme and the 2 and 3 stages Radau schemes. We show that the proposed PINNs outperform the above traditional schemes, in both numerical approximation accuracy and importantly computational cost, for a wide range of step sizes.




Abstract:Deep Operator Networks (DeepOnets) have revolutionized the domain of scientific machine learning for the solution of the inverse problem for dynamical systems. However, their implementation necessitates optimizing a high-dimensional space of parameters and hyperparameters. This fact, along with the requirement of substantial computational resources, poses a barrier to achieving high numerical accuracy. Here, inpsired by DeepONets and to address the above challenges, we present Random Projection-based Operator Networks (RandONets): shallow networks with random projections that learn linear and nonlinear operators. The implementation of RandONets involves: (a) incorporating random bases, thus enabling the use of shallow neural networks with a single hidden layer, where the only unknowns are the output weights of the network's weighted inner product; this reduces dramatically the dimensionality of the parameter space; and, based on this, (b) using established least-squares solvers (e.g., Tikhonov regularization and preconditioned QR decomposition) that offer superior numerical approximation properties compared to other optimization techniques used in deep-learning. In this work, we prove the universal approximation accuracy of RandONets for approximating nonlinear operators and demonstrate their efficiency in approximating linear nonlinear evolution operators (right-hand-sides (RHS)) with a focus on PDEs. We show, that for this particular task, RandONets outperform, both in terms of numerical approximation accuracy and computational cost, the ``vanilla" DeepOnets.




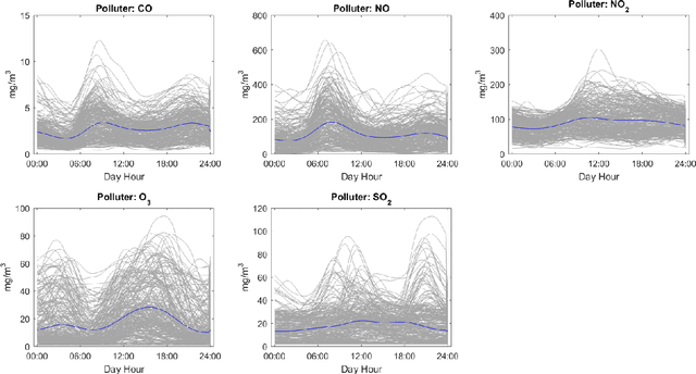
Abstract:The aim of this paper is to investigate possible advances obtained by the implementation of the framework of Fr\'echet mean and the generalized sense of mean that it offers, in the field of statistical process monitoring and control. In particular, the case of non-linear profiles which are described by data in functional form is considered and a framework combining the notion of Fr\'echet mean and deformation models is developed. The proposed monitoring approach is implemented to the intra-day air pollution monitoring task in the city of Athens where the capabilities and advantages of the method are illustrated.