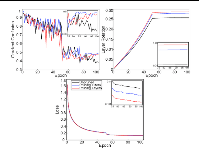
Abstract:Deep learning stands as the modern paradigm for solving cognitive tasks. However, as the problem complexity increases, models grow deeper and computationally prohibitive, hindering advancements in real-world and resource-constrained applications. Extensive studies reveal that pruning structures in these models efficiently reduces model complexity and improves computational efficiency. Successful strategies in this sphere include removing neurons (i.e., filters, heads) or layers, but not both together. Therefore, simultaneously pruning different structures remains an open problem. To fill this gap and leverage the benefits of eliminating neurons and layers at once, we propose a new method capable of pruning different structures within a model as follows. Given two candidate subnetworks (pruned models), one from layer pruning and the other from neuron pruning, our method decides which to choose by selecting the one with the highest representation similarity to its parent (the network that generates the subnetworks) using the Centered Kernel Alignment metric. Iteratively repeating this process provides highly sparse models that preserve the original predictive ability. Throughout extensive experiments on standard architectures and benchmarks, we confirm the effectiveness of our approach and show that it outperforms state-of-the-art layer and filter pruning techniques. At high levels of Floating Point Operations reduction, most state-of-the-art methods degrade accuracy, whereas our approach either improves it or experiences only a minimal drop. Notably, on the popular ResNet56 and ResNet110, we achieve a milestone of 86.37% and 95.82% FLOPs reduction. Besides, our pruned models obtain robustness to adversarial and out-of-distribution samples and take an important step towards GreenAI, reducing carbon emissions by up to 83.31%. Overall, we believe our work opens a new chapter in pruning.




Abstract:Deep learning drives a new wave in computing systems and triggers the automation of increasingly complex problems. In particular, Large Language Models (LLMs) have significantly advanced cognitive tasks, often matching or even surpassing human-level performance. However, their extensive parameters result in high computational costs and slow inference, posing challenges for deployment in resource-limited settings. Among the strategies to overcome the aforementioned challenges, pruning emerges as a successful mechanism since it reduces model size while maintaining predictive ability. In this paper, we introduce AMP: Attention Heads and MLP Pruning, a novel structured pruning method that efficiently compresses LLMs by removing less critical structures within Multi-Head Attention (MHA) and Multilayer Perceptron (MLP). By projecting the input data onto weights, AMP assesses structural importance and overcomes the limitations of existing techniques, which often fall short in flexibility or efficiency. In particular, AMP surpasses the current state-of-the-art on commonsense reasoning tasks by up to 1.49 percentage points, achieving a 30% pruning ratio with minimal impact on zero-shot task performance. Moreover, AMP also improves inference speeds, making it well-suited for deployment in resource-constrained environments. We confirm the flexibility of AMP on different families of LLMs, including LLaMA and Phi.
Abstract:Layer pruning offers a promising alternative to standard structured pruning, effectively reducing computational costs, latency, and memory footprint. While notable layer-pruning approaches aim to detect unimportant layers for removal, they often rely on single criteria that may not fully capture the complex, underlying properties of layers. We propose a novel approach that combines multiple similarity metrics into a single expressive measure of low-importance layers, called the Consensus criterion. Our technique delivers a triple-win solution: low accuracy drop, high-performance improvement, and increased robustness to adversarial attacks. With up to 78.80% FLOPs reduction and performance on par with state-of-the-art methods across different benchmarks, our approach reduces energy consumption and carbon emissions by up to 66.99% and 68.75%, respectively. Additionally, it avoids shortcut learning and improves robustness by up to 4 percentage points under various adversarial attacks. Overall, the Consensus criterion demonstrates its effectiveness in creating robust, efficient, and environmentally friendly pruned models.




Abstract:Deep neural networks have been the predominant paradigm in machine learning for solving cognitive tasks. Such models, however, are restricted by a high computational overhead, limiting their applicability and hindering advancements in the field. Extensive research demonstrated that pruning structures from these models is a straightforward approach to reducing network complexity. In this direction, most efforts focus on removing weights or filters. Studies have also been devoted to layer pruning as it promotes superior computational gains. However, layer pruning often hurts the network predictive ability (i.e., accuracy) at high compression rates. This work introduces an effective layer-pruning strategy that meets all underlying properties pursued by pruning methods. Our method estimates the relative importance of a layer using the Centered Kernel Alignment (CKA) metric, employed to measure the similarity between the representations of the unpruned model and a candidate layer for pruning. We confirm the effectiveness of our method on standard architectures and benchmarks, in which it outperforms existing layer-pruning strategies and other state-of-the-art pruning techniques. Particularly, we remove more than 75% of computation while improving predictive ability. At higher compression regimes, our method exhibits negligible accuracy drop, while other methods notably deteriorate model accuracy. Apart from these benefits, our pruned models exhibit robustness to adversarial and out-of-distribution samples.
Abstract:Pruning is a standard technique for reducing the computational cost of deep networks. Many advances in pruning leverage concepts from the Lottery Ticket Hypothesis (LTH). LTH reveals that inside a trained dense network exists sparse subnetworks (tickets) able to achieve similar accuracy (i.e., win the lottery - winning tickets). Pruning at initialization focuses on finding winning tickets without training a dense network. Studies on these concepts share the trend that subnetworks come from weight or filter pruning. In this work, we investigate LTH and pruning at initialization from the lens of layer pruning. First, we confirm the existence of winning tickets when the pruning process removes layers. Leveraged by this observation, we propose to discover these winning tickets at initialization, eliminating the requirement of heavy computational resources for training the initial (over-parameterized) dense network. Extensive experiments show that our winning tickets notably speed up the training phase and reduce up to 51% of carbon emission, an important step towards democratization and green Artificial Intelligence. Beyond computational benefits, our winning tickets exhibit robustness against adversarial and out-of-distribution examples. Finally, we show that our subnetworks easily win the lottery at initialization while tickets from filter removal (the standard structured LTH) hardly become winning tickets.




Abstract:Pruning is a well-known mechanism for reducing the computational cost of deep convolutional networks. However, studies have shown the potential of pruning as a form of regularization, which reduces overfitting and improves generalization. We demonstrate that this family of strategies provides additional benefits beyond computational performance and generalization. Our analyses reveal that pruning structures (filters and/or layers) from convolutional networks increase not only generalization but also robustness to adversarial images (natural images with content modified). Such achievements are possible since pruning reduces network capacity and provides regularization, which have been proven effective tools against adversarial images. In contrast to promising defense mechanisms that require training with adversarial images and careful regularization, we show that pruning obtains competitive results considering only natural images (e.g., the standard and low-cost training). We confirm these findings on several adversarial attacks and architectures; thus suggesting the potential of pruning as a novel defense mechanism against adversarial images.




Abstract:Modern convolutional networks such as ResNet and NASNet have achieved state-of-the-art results in many computer vision applications. These architectures consist of stages, which are sets of layers that operate on representations in the same resolution. It has been demonstrated that increasing the number of layers in each stage improves the prediction ability of the network. However, the resulting architecture becomes computationally expensive in terms of floating point operations, memory requirements and inference time. Thus, significant human effort is necessary to evaluate different trade-offs between depth and performance. To handle this problem, recent works have proposed to automatically design high-performance architectures, mainly by means of neural architecture search (NAS). Current NAS strategies analyze a large set of possible candidate architectures and, hence, require vast computational resources and take many GPUs days. Motivated by this, we propose a NAS approach to efficiently design accurate and low-cost convolutional architectures and demonstrate that an efficient strategy for designing these architectures is to learn the depth stage-by-stage. For this purpose, our approach increases depth incrementally in each stage taking into account its importance, such that stages with low importance are kept shallow while stages with high importance become deeper. We conduct experiments on the CIFAR and different versions of ImageNet datasets, where we show that architectures discovered by our approach achieve better accuracy and efficiency than human-designed architectures. Additionally, we show that architectures discovered on CIFAR-10 can be successfully transferred to large datasets. Compared to previous NAS approaches, our method is substantially more efficient, as it evaluates one order of magnitude fewer models and yields architectures on par with the state-of-the-art.




Abstract:Dimensionality reduction plays an important role in computer vision problems since it reduces computational cost and is often capable of yielding more discriminative data representation. In this context, Partial Least Squares (PLS) has presented notable results in tasks such as image classification and neural network optimization. However, PLS is infeasible on large datasets (e.g., ImageNet) because it requires all the data to be in memory in advance, which is often impractical due to hardware limitations. Additionally, this requirement prevents us from employing PLS on streaming applications where the data are being continuously generated. Motivated by this, we propose a novel incremental PLS, named Covariance-free Incremental Partial Least Squares (CIPLS), which learns a low-dimensional representation of the data using a single sample at a time. In contrast to other state-of-the-art approaches, instead of adopting a partially-discriminative or SGD-based model, we extend Nonlinear Iterative Partial Least Squares (NIPALS) - the standard algorithm used to compute PLS - for incremental processing. Among the advantages of this approach are the preservation of discriminative information across all components, the possibility of employing its score matrices for feature selection, and its computational efficiency. We validate CIPLS on face verification and image classification tasks, where it outperforms several other incremental dimensionality reduction methods. In the context of feature selection, CIPLS achieves comparable results when compared to state-of-the-art techniques.




Abstract:To handle the high computational cost in deep convolutional networks, recent approaches have proposed to find and remove unimportant filters in these networks. Although achieving remarkable results, these approaches demand a high computational cost mostly because the pruning is performed layer-by-layer, which requires many fine-tuning iterations. In this work, we propose a novel approach to efficiently remove filters in deep convolutional neural networks based on Partial Least Squares and Variable Importance in Projection to measure the importance of each filter, removing the unimportant (or least important) ones. We validate the proposed method on ImageNet, Cifar-10 and Food-101 datasets, where it eliminates up to 65% of the filters and reduces 88% of the floating point operations (FLOPs) without penalizing the network accuracy. Additionally, sometimes the method is even able to improve the accuracy compared to the network without pruning. Finally, we show that the proposed method is more efficient and achieves a higher reduction in FLOPs than existing methods. Codes are available at https://github.com/arturjordao/PruningNeuralNetworks




Abstract:Human activity recognition based on wearable sensor data has been an attractive research topic due to its application in areas such as healthcare, homeland security and smart environments. In this context, many works have presented remarkable results using accelerometer, gyroscope and magnetometer data to represent the categories of activities. However, the current studies do not consider important issues that lead to skewed results, making hard to measure how well sensor-based human activity recognition is and preventing a direct comparison of previous works. These issues include the employed metrics, the validation protocol used, the samples generation process, and the quality of the dataset (i.e., the sampling rate and the number of activities to be recognized). We emphasize that in other research areas, such as image classification and object detection, these issues are well-defined, which brings more efforts towards the application. Inspired by this, in this work, we conduct an extensive set of experiments to indicate the vulnerable points in human activity recognition based on wearable sensor data. To this purpose, we implement and evaluate several state-of-the-art approaches, ranging from handcrafted-based methods to convolutional neural networks. Furthermore, we standardize a large number of datasets, which vary in terms of sampling rate, number of sensors, activities and subjects. According to our study, the most of evaluation types applied in the literature are not adequate to perform the activity recognition in the context of wearable sensor data, in which the recognition accuracy drops around ten percentage points when compared to the appropriate validation.