



Abstract:We present the joint contribution of IST and Unbabel to the WMT 2022 Shared Task on Quality Estimation (QE). Our team participated on all three subtasks: (i) Sentence and Word-level Quality Prediction; (ii) Explainable QE; and (iii) Critical Error Detection. For all tasks we build on top of the COMET framework, connecting it with the predictor-estimator architecture of OpenKiwi, and equipping it with a word-level sequence tagger and an explanation extractor. Our results suggest that incorporating references during pretraining improves performance across several language pairs on downstream tasks, and that jointly training with sentence and word-level objectives yields a further boost. Furthermore, combining attention and gradient information proved to be the top strategy for extracting good explanations of sentence-level QE models. Overall, our submissions achieved the best results for all three tasks for almost all language pairs by a considerable margin.




Abstract:Although the problem of hallucinations in neural machine translation (NMT) has received some attention, research on this highly pathological phenomenon lacks solid ground. Previous work has been limited in several ways: it often resorts to artificial settings where the problem is amplified, it disregards some (common) types of hallucinations, and it does not validate adequacy of detection heuristics. In this paper, we set foundations for the study of NMT hallucinations. First, we work in a natural setting, i.e., in-domain data without artificial noise neither in training nor in inference. Next, we annotate a dataset of over 3.4k sentences indicating different kinds of critical errors and hallucinations. Then, we turn to detection methods and both revisit methods used previously and propose using glass-box uncertainty-based detectors. Overall, we show that for preventive settings, (i) previously used methods are largely inadequate, (ii) sequence log-probability works best and performs on par with reference-based methods. Finally, we propose DeHallucinator, a simple method for alleviating hallucinations at test time that significantly reduces the hallucinatory rate. To ease future research, we release our annotated dataset for WMT18 German-English data, along with the model, training data, and code.




Abstract:Semi-parametric models, which augment generation with retrieval, have led to impressive results in language modeling and machine translation, due to their ability to leverage information retrieved from a datastore of examples. One of the most prominent approaches, $k$NN-MT, has an outstanding performance on domain adaptation by retrieving tokens from a domain-specific datastore \citep{khandelwal2020nearest}. However, $k$NN-MT requires retrieval for every single generated token, leading to a very low decoding speed (around 8 times slower than a parametric model). In this paper, we introduce a \textit{chunk-based} $k$NN-MT model which retrieves chunks of tokens from the datastore, instead of a single token. We propose several strategies for incorporating the retrieved chunks into the generation process, and for selecting the steps at which the model needs to search for neighbors in the datastore. Experiments on machine translation in two settings, static domain adaptation and ``on-the-fly'' adaptation, show that the chunk-based $k$NN-MT model leads to a significant speed-up (up to 4 times) with only a small drop in translation quality.




Abstract:Despite the progress in machine translation quality estimation and evaluation in the last years, decoding in neural machine translation (NMT) is mostly oblivious to this and centers around finding the most probable translation according to the model (MAP decoding), approximated with beam search. In this paper, we bring together these two lines of research and propose quality-aware decoding for NMT, by leveraging recent breakthroughs in reference-free and reference-based MT evaluation through various inference methods like $N$-best reranking and minimum Bayes risk decoding. We perform an extensive comparison of various possible candidate generation and ranking methods across four datasets and two model classes and find that quality-aware decoding consistently outperforms MAP-based decoding according both to state-of-the-art automatic metrics (COMET and BLEURT) and to human assessments. Our code is available at https://github.com/deep-spin/qaware-decode.




Abstract:Machine translation models struggle when translating out-of-domain text, which makes domain adaptation a topic of critical importance. However, most domain adaptation methods focus on fine-tuning or training the entire or part of the model on every new domain, which can be costly. On the other hand, semi-parametric models have been shown to successfully perform domain adaptation by retrieving examples from an in-domain datastore (Khandelwal et al., 2021). A drawback of these retrieval-augmented models, however, is that they tend to be substantially slower. In this paper, we explore several approaches to speed up nearest neighbor machine translation. We adapt the methods recently proposed by He et al. (2021) for language modeling, and introduce a simple but effective caching strategy that avoids performing retrieval when similar contexts have been seen before. Translation quality and runtimes for several domains show the effectiveness of the proposed solutions.




Abstract:Modern machine learning models are opaque, and as a result there is a burgeoning academic subfield on methods that explain these models' behavior. However, what is the precise goal of providing such explanations, and how can we demonstrate that explanations achieve this goal? Some research argues that explanations should help teach a student (either human or machine) to simulate the model being explained, and that the quality of explanations can be measured by the simulation accuracy of students on unexplained examples. In this work, leveraging meta-learning techniques, we extend this idea to improve the quality of the explanations themselves, specifically by optimizing explanations such that student models more effectively learn to simulate the original model. We train models on three natural language processing and computer vision tasks, and find that students trained with explanations extracted with our framework are able to simulate the teacher significantly more effectively than ones produced with previous methods. Through human annotations and a user study, we further find that these learned explanations more closely align with how humans would explain the required decisions in these tasks. Our code is available at https://github.com/coderpat/learning-scaffold




Abstract:Neural-based machine translation (MT) evaluation metrics are progressing fast. However, these systems are often hard to interpret and might produce unreliable scores when human references or assessments are noisy or when data is out-of-domain. Recent work leveraged uncertainty quantification techniques such as Monte Carlo dropout and deep ensembles to provide confidence intervals, but these techniques (as we show) are limited in several ways. In this paper we investigate more powerful and efficient uncertainty predictors for MT evaluation metrics and their potential to capture aleatoric and epistemic uncertainty. To this end we train the COMET metric with new heteroscedastic regression, divergence minimization, and direct uncertainty prediction objectives. Our experiments show improved results on WMT20 and WMT21 metrics task datasets and a substantial reduction in computational costs. Moreover, they demonstrate the ability of our predictors to identify low quality references and to reveal model uncertainty due to out-of-domain data.




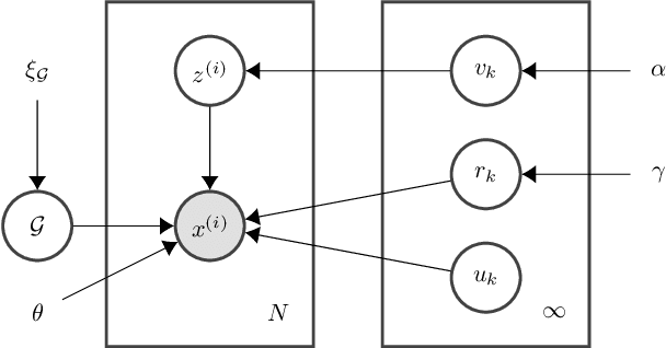
Abstract:Recent work has shown promising results in causal discovery by leveraging interventional data with gradient-based methods, even when the intervened variables are unknown. However, previous work assumes that the correspondence between samples and interventions is known, which is often unrealistic. We envision a scenario with an extensive dataset sampled from multiple intervention distributions and one observation distribution, but where we do not know which distribution originated each sample and how the intervention affected the system, \textit{i.e.}, interventions are entirely latent. We propose a method based on neural networks and variational inference that addresses this scenario by framing it as learning a shared causal graph among an infinite mixture (under a Dirichlet process prior) of intervention structural causal models. Experiments with synthetic and real data show that our approach and its semi-supervised variant are able to discover causal relations in this challenging scenario.




Abstract:Neural networks are powerful function estimators, leading to their status as a paradigm of choice for modeling structured data. However, unlike other structured representations that emphasize the modularity of the problem -- e.g., factor graphs -- neural networks are usually monolithic mappings from inputs to outputs, with a fixed computation order. This limitation prevents them from capturing different directions of computation and interaction between the modeled variables. In this paper, we combine the representational strengths of factor graphs and of neural networks, proposing undirected neural networks (UNNs): a flexible framework for specifying computations that can be performed in any order. For particular choices, our proposed models subsume and extend many existing architectures: feed-forward, recurrent, self-attention networks, auto-encoders, and networks with implicit layers. We demonstrate the effectiveness of undirected neural architectures, both unstructured and structured, on a range of tasks: tree-constrained dependency parsing, convolutional image classification, and sequence completion with attention. By varying the computation order, we show how a single UNN can be used both as a classifier and a prototype generator, and how it can fill in missing parts of an input sequence, making them a promising field for further research.




Abstract:A bottleneck in transformer architectures is their quadratic complexity with respect to the input sequence, which has motivated a body of work on efficient sparse approximations to softmax. An alternative path, used by entmax transformers, consists of having built-in exact sparse attention; however this approach still requires quadratic computation. In this paper, we propose Sparsefinder, a simple model trained to identify the sparsity pattern of entmax attention before computing it. We experiment with three variants of our method, based on distances, quantization, and clustering, on two tasks: machine translation (attention in the decoder) and masked language modeling (encoder-only). Our work provides a new angle to study model efficiency by doing extensive analysis of the tradeoff between the sparsity and recall of the predicted attention graph. This allows for detailed comparison between different models, and may guide future benchmarks for sparse models.