Abstract:The dominance of colonial languages in African education and scientific communication limits how hundreds of millions of speakers of African languages access and produce scientific knowledge. A core obstacle is the lack of established scientific terminology in these languages. We introduce AfriScience-MT, a parallel corpus covering six African languages (Amharic, Hausa, Luganda, Northern Sotho, Yorùbá, and isiZulu) across 11 scientific domains. Professional translators, working with expert science communicators, translated plain-language summaries of scientific papers into each target language and created new terms where none existed. We benchmark machine translation systems and large language models in zero-shot, few-shot, and fine-tuned settings. Our results show that closed-source models outperform all open-source models at both the sentence and document levels: GPT-5.4 and Gemini-3.1-Flash-Lite lead with average sentence-level COMET scores of 68.3 and 68.0, respectively, and tie at an average document-level COMET of 48.3. Among open systems, fine-tuned NLLB-1.3B reaches 67.3 at the sentence level, and TranslateGemma-12B reaches 44.0 at the document level with 1-shot in-context learning. We release AfriScience-MT to support benchmarking and document-level scientific MT for African languages.




Abstract:The problem of unveiling the author of a given text document from multiple candidate authors is called authorship attribution. Manifold word-based stylistic markers have been successfully used in deep learning methods to deal with the intrinsic problem of authorship attribution. Unfortunately, the performance of word-based authorship attribution systems is limited by the vocabulary of the training corpus. Literature has recommended character-based stylistic markers as an alternative to overcome the hidden word problem. However, character-based methods often fail to capture the sequential relationship of words in texts which is a chasm for further improvement. The question addressed in this paper is whether it is possible to address the ambiguity of hidden words in text documents while preserving the sequential context of words. Consequently, a method based on bidirectional long short-term memory (BLSTM) with a 2-dimensional convolutional neural network (CNN) is proposed to capture sequential writing styles for authorship attribution. The BLSTM was used to obtain the sequential relationship among characteristics using subword information. The 2-dimensional CNN was applied to understand the local syntactical position of the style from unlabeled input text. The proposed method was experimentally evaluated against numerous state-of-the-art methods across the public corporal of CCAT50, IMDb62, Blog50, and Twitter50. Experimental results indicate accuracy improvement of 1.07\%, and 0.96\% on CCAT50 and Twitter, respectively, and produce comparable results on the remaining datasets.


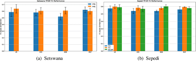
Abstract:The recent advances in Natural Language Processing have only been a boon for well represented languages, negating research in lesser known global languages. This is in part due to the availability of curated data and research resources. One of the current challenges concerning low-resourced languages are clear guidelines on the collection, curation and preparation of datasets for different use-cases. In this work, we take on the task of creating two datasets that are focused on news headlines (i.e short text) for Setswana and Sepedi and the creation of a news topic classification task from these datasets. In this study, we document our work, propose baselines for classification, and investigate an approach on data augmentation better suited to low-resourced languages in order to improve the performance of the classifiers.




Abstract:The recent advances in Natural Language Processing have been a boon for well-represented languages in terms of available curated data and research resources. One of the challenges for low-resourced languages is clear guidelines on the collection, curation and preparation of datasets for different use-cases. In this work, we take on the task of creation of two datasets that are focused on news headlines (i.e short text) for Setswana and Sepedi and creation of a news topic classification task. We document our work and also present baselines for classification. We investigate an approach on data augmentation, better suited to low resource languages, to improve the performance of the classifiers