Abstract:Integrated Sensing and Communications (ISAC) has garnered significant attention as a promising technology for next-generation wireless and vehicular communications. Among candidate waveforms, Orthogonal Frequency Division Multiplexing (OFDM) has been extensively investigated over the past decade for its robustness against frequency-selective fading and its favorable ranging performance. However, the waveform's sensing and communication (S&C) performance depends strongly on the modulation scheme; while variable-amplitude constellations such as quadrature amplitude (QAM) are more efficient for communication, constant-modulus modulations such as phase shift keying (PSK) are more suitable for sensing. Yet, it remains unclear whether these findings persist under power amplifier (PA) nonlinearity. Because OFDM signals exhibit a high peak-to-average power ratio (PAPR), they require highly linear PAs to avoid distortion, which conflicts with radar requirements, where high transmit power is always beneficial for sensing. In this work, we analyze the effect of PA-induced distortions on the sensing task for PSK and QAM constellations. By introducing the Signal-to-Distortion Ratio (SDR), we examine the extent of the distortion limitation on the ranging task. We complement simulation results with a theoretical characterization of the ambiguity function (AF), thereby explicitly demonstrating how distortion artifacts manifest in the zero-Doppler sidelobes (i.e, ranging sidelobes) and the zero-delay sidelobes. Simulations show that PA distortions impose a palpable performance ceiling for both constellations, reshape the AF, and reduce detection probability, diminishing the theoretical advantage of unimodular signaling and further compromising the OFDM sensing performance with non-uniform envelope signals.




Abstract:The support of artificial intelligence (AI) based decision-making is a key element in future 6G networks, where the concept of native AI will be introduced. Moreover, AI is widely employed in different critical applications such as autonomous driving and medical diagnosis. In such applications, using AI as black-box models is risky and challenging. Hence, it is crucial to understand and trust the decisions taken by these models. Tackling this issue can be achieved by developing explainable AI (XAI) schemes that aim to explain the logic behind the black-box model behavior, and thus, ensure its efficient and safe deployment. Recently, we proposed a novel perturbation-based XAI-CHEST framework that is oriented toward channel estimation in wireless communications. The core idea of the XAI-CHEST framework is to identify the relevant model inputs by inducing high noise on the irrelevant ones. This manuscript provides the detailed theoretical foundations of the XAI-CHEST framework. In particular, we derive the analytical expressions of the XAI-CHEST loss functions and the noise threshold fine-tuning optimization problem. Hence the designed XAI-CHEST delivers a smart input feature selection methodology that can further improve the overall performance while optimizing the architecture of the employed model. Simulation results show that the XAI-CHEST framework provides valid interpretations, where it offers an improved bit error rate performance while reducing the required computational complexity in comparison to the classical DL-based channel estimation.
Abstract:Current AI-based methods do not provide comprehensible physical interpretations of the utilized data, extracted features, and predictions/inference operations. As a result, deep learning models trained using high-resolution satellite imagery lack transparency and explainability and can be merely seen as a black box, which limits their wide-level adoption. Experts need help understanding the complex behavior of AI models and the underlying decision-making process. The explainable artificial intelligence (XAI) field is an emerging field providing means for robust, practical, and trustworthy deployment of AI models. Several XAI techniques have been proposed for image classification tasks, whereas the interpretation of image segmentation remains largely unexplored. This paper offers to bridge this gap by adapting the recent XAI classification algorithms and making them usable for muti-class image segmentation, where we mainly focus on buildings' segmentation from high-resolution satellite images. To benchmark and compare the performance of the proposed approaches, we introduce a new XAI evaluation methodology and metric based on "Entropy" to measure the model uncertainty. Conventional XAI evaluation methods rely mainly on feeding area-of-interest regions from the image back to the pre-trained (utility) model and then calculating the average change in the probability of the target class. Those evaluation metrics lack the needed robustness, and we show that using Entropy to monitor the model uncertainty in segmenting the pixels within the target class is more suitable. We hope this work will pave the way for additional XAI research for image segmentation and applications in the remote sensing discipline.




Abstract:eXplainable Artificial Intelligence (XAI) has emerged as an essential requirement when dealing with mission-critical applications, ensuring transparency and interpretability of the employed black box AI models. The significance of XAI spans various domains, from healthcare to finance, where understanding the decision-making process of deep learning algorithms is essential. Most AI-based computer vision models are often black boxes; hence, providing explainability of deep neural networks in image processing is crucial for their wide adoption and deployment in medical image analysis, autonomous driving, and remote sensing applications. Recently, several XAI methods for image classification tasks have been introduced. On the contrary, image segmentation has received comparatively less attention in the context of explainability, although it is a fundamental task in computer vision applications, especially in remote sensing. Only some research proposes gradient-based XAI algorithms for image segmentation. This paper adapts the recent gradient-free Sobol XAI method for semantic segmentation. To measure the performance of the Sobol method for segmentation, we propose a quantitative XAI evaluation method based on a learnable noise model. The main objective of this model is to induce noise on the explanation maps, where higher induced noise signifies low accuracy and vice versa. A benchmark analysis is conducted to evaluate and compare performance of three XAI methods, including Seg-Grad-CAM, Seg-Grad-CAM++ and Seg-Sobol using the proposed noise-based evaluation technique. This constitutes the first attempt to run and evaluate XAI methods using high-resolution satellite images.
Abstract:Doubly-selective channel estimation represents a key element in ensuring communication reliability in wireless systems. Due to the impact of multi-path propagation and Doppler interference in dynamic environments, doubly-selective channel estimation becomes challenging. Conventional symbol-by-symbol (SBS) and frame-by-frame (FBF) channel estimation schemes encounter performance degradation in high mobility scenarios due to the usage of limited training pilots. Recently, deep learning (DL) has been utilized for doubly-selective channel estimation, where long short-term memory (LSTM) and convolutional neural network (CNN) networks are employed in the SBS and FBF, respectively. However, their usage is not optimal, since LSTM suffers from long-term memory problem, whereas, CNN-based estimators require high complexity. For this purpose, we overcome these issues by proposing an optimized recurrent neural network (RNN)-based channel estimation schemes, where gated recurrent unit (GRU) and Bi-GRU units are used in SBS and FBF channel estimation, respectively. The proposed estimators are based on the average correlation of the channel in different mobility scenarios, where several performance-complexity trade-offs are provided. Moreover, the performance of several RNN networks is analyzed. The performance superiority of the proposed estimators against the recently proposed DL-based SBS and FBF estimators is demonstrated for different scenarios while recording a significant reduction in complexity.
Abstract:Research into 6G networks has been initiated to support a variety of critical artificial intelligence (AI) assisted applications such as autonomous driving. In such applications, AI-based decisions should be performed in a real-time manner. These decisions include resource allocation, localization, channel estimation, etc. Considering the black-box nature of existing AI-based models, it is highly challenging to understand and trust the decision-making behavior of such models. Therefore, explaining the logic behind those models through explainable AI (XAI) techniques is essential for their employment in critical applications. This manuscript proposes a novel XAI-based channel estimation (XAI-CHEST) scheme that provides detailed reasonable interpretability of the deep learning (DL) models that are employed in doubly-selective channel estimation. The aim of the proposed XAI-CHEST scheme is to identify the relevant model inputs by inducing high noise on the irrelevant ones. As a result, the behavior of the studied DL-based channel estimators can be further analyzed and evaluated based on the generated interpretations. Simulation results show that the proposed XAI-CHEST scheme provides valid interpretations of the DL-based channel estimators for different scenarios.
Abstract:Doubly-selective channel estimation represents a key element in ensuring communication reliability in wireless systems. Due to the impact of multi-path propagation and Doppler interference in dynamic environments, doubly-selective channel estimation becomes challenging. Conventional channel estimation schemes encounter performance degradation in high mobility scenarios due to the usage of limited training pilots. Recently, deep learning (DL) has been utilized for doubly-selective channel estimation, where convolutional neural network (CNN) networks are employed in the frame-by-frame (FBF) channel estimation. However, CNN-based estimators require high complexity, making them impractical in real-case scenarios. For this purpose, we overcome this issue by proposing an optimized and robust bi-directional recurrent neural network (Bi-RNN) based channel estimator to accurately estimate the doubly-selective channel, especially in high mobility scenarios. The proposed estimator is based on performing end-to-end interpolation using gated recurrent unit (GRU) unit. Extensive numerical experiments demonstrate that the developed Bi-GRU estimator significantly outperforms the recently proposed CNN-based estimators in different mobility scenarios, while substantially reducing the overall computational complexity.




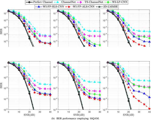
Abstract:Wireless communications systems are impacted by multi-path fading and Doppler shift in dynamic environments, where the channel becomes doubly-dispersive and its estimation becomes an arduous task. Only a few pilots are used for channel estimation in conventional approaches to preserve high data rate transmission. Consequently, such estimators experience a significant performance degradation in high mobility scenarios. Recently, deep learning has been employed for doubly-dispersive channel estimation due to its low-complexity, robustness, and good generalization ability. Against this backdrop, the current paper presents a comprehensive survey on channel estimation techniques based on deep learning by deeply investigating different methods. The study also provides extensive experimental simulations followed by a computational complexity analysis. After considering different parameters such as modulation order, mobility, frame length, and deep learning architecture, the performance of the studied estimators is evaluated in several mobility scenarios. In addition, the source codes are made available online in order to make the results reproducible.



Abstract:In vehicular communications, reliable channel estimation is critical for the system performance due to the doubly-dispersive nature of vehicular channels. IEEE 802.11p standard allocates insufficient pilots for accurate channel tracking. Consequently, conventional IEEE 802.11p estimators suffer from a considerable performance degradation, especially in high mobility scenarios. Recently, deep learning (DL) techniques have been employed for IEEE 802.11p channel estimation. Nevertheless, these methods suffer either from performance degradation in very high mobility scenarios or from large computational complexity. In this paper, these limitations are solved using a long short term memory (LSTM)-based estimation. The proposed estimator employs an LSTM unit to estimate the channel, followed by temporal averaging (TA) processing as a noise alleviation technique. Moreover, the noise mitigation ratio is determined analytically, thus validating the TA processing ability in improving the overall performance. Simulation results reveal the performance superiority of the proposed schemes compared to recently proposed DL-based estimators, while recording a significant reduction in the computational complexity.




Abstract:IEEE 802.11p standard defines wireless technology protocols that enable vehicular transportation and manage traffic efficiency. A major challenge in the development of this technology is ensuring communication reliability in highly dynamic vehicular environments, where the wireless communication channels are doubly selective, thus making channel estimation and tracking a relevant problem to investigate. In this paper, a novel deep learning (DL)-based weighted interpolation estimator is proposed to accurately estimate vehicular channels especially in high mobility scenarios. The proposed estimator is based on modifying the pilot allocation of the IEEE 802.11p standard so that more transmission data rates are achieved. Extensive numerical experiments demonstrate that the developed estimator significantly outperforms the recently proposed DL-based frame-by-frame estimators in different vehicular scenarios, while substantially reducing the overall computational complexity.