



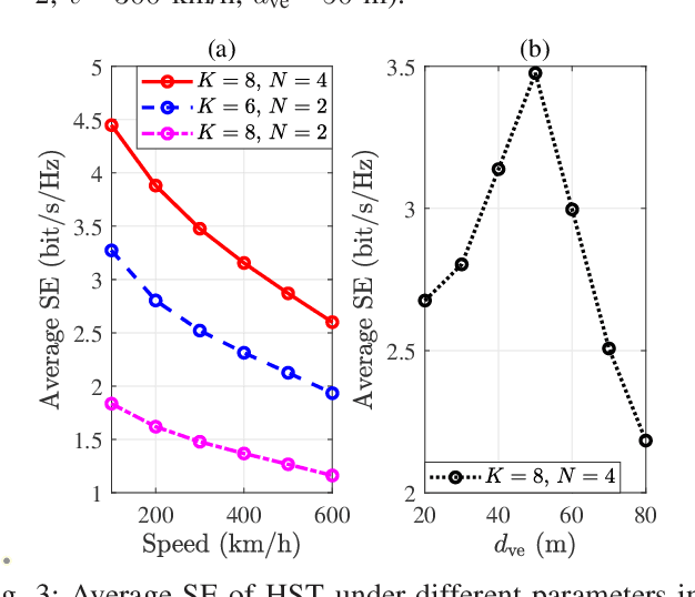
High-speed train (HST) communications with orthogonal frequency division multiplexing (OFDM) techniques have received significant attention in recent years. Besides, cell-free (CF) massive multiple-input multiple-output (MIMO) is considered a promising technology to achieve the ultimate performance limit. In this paper, we focus on the performance of CF massive MIMO-OFDM systems with both matched filter and large-scale fading decoding (LSFD) receivers in HST communications. HST communications with small cell and cellular massive MIMO-OFDM systems are also analyzed for comparison. Considering the bad effect of Doppler frequency offset (DFO) on system performance, exact closed-form expressions for uplink spectral efficiency (SE) of all systems are derived. According to the simulation results, we find that the CF massive MIMO-OFDM system with LSFD achieves both larger SE and lower SE drop percentages than other systems. In addition, increasing the number of access points (APs) and antennas per AP can effectively compensate for the performance loss from the DFO. Moreover, there is an optimal vertical distance between APs and HST to achieve the maximum SE.