



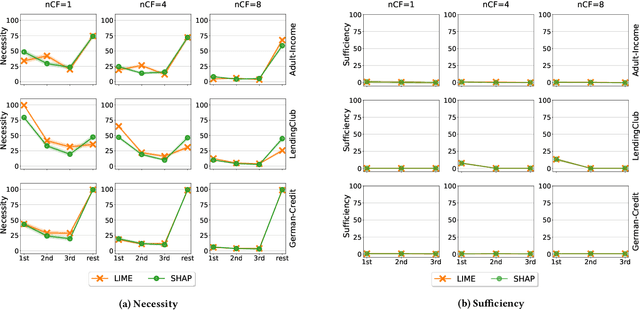
To explain a machine learning model, there are two main approaches: feature attributions that assign an importance score to each input feature, and counterfactual explanations that provide input examples with minimal changes to alter the model's prediction. We provide two key results towards unifying these approaches in terms of their interpretation and use. First, we present a method to generate feature attribution explanations from a set of counterfactual examples. These feature attributions convey how important a feature is to changing the classification outcome of a model, especially on whether a subset of features is necessary and/or sufficient for that change, which feature attribution methods are unable to provide. Second, we show how counterfactual examples can be used to evaluate the goodness of an attribution-based explanation in terms of its necessity and sufficiency. As a result, we highlight the complementarity of these two approaches and provide an interpretation based on a causal inference framework. Our evaluation on three benchmark datasets -- Adult Income, LendingClub, and GermanCredit -- confirm the complementarity. Feature attribution methods like LIME and SHAP and counterfactual explanation methods like DiCE often do not agree on feature importance rankings. In addition, by restricting the features that can be modified for generating counterfactual examples, we find that the top-k features from LIME or SHAP are neither necessary nor sufficient explanations of a model's prediction. Finally, we present a case study of different explanation methods on a real-world hospital triage problem.