



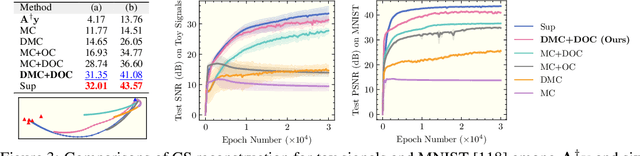
Compressed sensing (CS) is a promising tool for reducing sampling costs. Current deep neural network (NN)-based CS methods face challenges in collecting labeled measurement-ground truth (GT) data and generalizing to real applications. This paper proposes a novel $\mathbf{S}$elf-supervised s$\mathbf{C}$alable deep CS method, comprising a $\mathbf{L}$earning scheme called $\mathbf{SCL}$ and a family of $\mathbf{Net}$works named $\mathbf{SCNet}$, which does not require GT and can handle arbitrary sampling ratios and matrices once trained on a partial measurement set. Our SCL contains a dual-domain loss and a four-stage recovery strategy. The former encourages a cross-consistency on two measurement parts and a sampling-reconstruction cycle-consistency regarding arbitrary ratios and matrices to maximize data/information utilization. The latter can progressively leverage common signal prior in external measurements and internal characteristics of test samples and learned NNs to improve accuracy. SCNet combines the explicit guidance from optimization algorithms with implicit regularization from advanced NN blocks to learn a collaborative signal representation. Our theoretical analyses and experiments on simulated and real captured data, covering 1-/2-/3-D natural and scientific signals, demonstrate the effectiveness, superior performance, flexibility, and generalization ability of our method over existing self-supervised methods and its significant potential in competing against state-of-the-art supervised methods.