



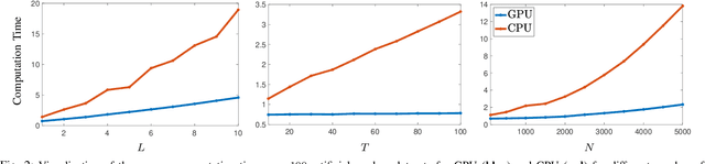
Kernels derived from deep neural networks (DNNs) in the infinite-width provide not only high performance in a range of machine learning tasks but also new theoretical insights into DNN training dynamics and generalization. In this paper, we extend the family of kernels associated with recurrent neural networks (RNNs), which were previously derived only for simple RNNs, to more complex architectures that are bidirectional RNNs and RNNs with average pooling. We also develop a fast GPU implementation to exploit its full practical potential. While RNNs are typically only applied to time-series data, we demonstrate that classifiers using RNN-based kernels outperform a range of baseline methods on 90 non-time-series datasets from the UCI data repository.