



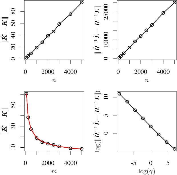
Classical methods such as Principal Component Analysis (PCA) and Canonical Correlation Analysis (CCA) are ubiquitous in statistics. However, these techniques are only able to reveal linear relationships in data. Although nonlinear variants of PCA and CCA have been proposed, these are computationally prohibitive in the large scale. In a separate strand of recent research, randomized methods have been proposed to construct features that help reveal nonlinear patterns in data. For basic tasks such as regression or classification, random features exhibit little or no loss in performance, while achieving drastic savings in computational requirements. In this paper we leverage randomness to design scalable new variants of nonlinear PCA and CCA; our ideas extend to key multivariate analysis tools such as spectral clustering or LDA. We demonstrate our algorithms through experiments on real-world data, on which we compare against the state-of-the-art. A simple R implementation of the presented algorithms is provided.