



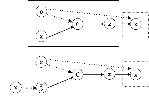
Variational encoder-decoders (VEDs) have shown promising results in dialogue generation. However, the latent variable distributions are usually approximated by a much simpler model than the powerful RNN structure used for encoding and decoding, yielding the KL-vanishing problem and inconsistent training objective. In this paper, we separate the training step into two phases: The first phase learns to autoencode discrete texts into continuous embeddings, from which the second phase learns to generalize latent representations by reconstructing the encoded embedding. In this case, latent variables are sampled by transforming Gaussian noise through multi-layer perceptrons and are trained with a separate VED model, which has the potential of realizing a much more flexible distribution. We compare our model with current popular models and the experiment demonstrates substantial improvement in both metric-based and human evaluations.