



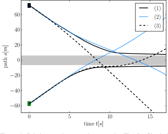
While motion planning approaches for automated driving often focus on safety and mathematical optimality with respect to technical parameters, they barely consider convenience, perceived safety for the passenger and comprehensibility for other traffic participants. For automated driving in mixed traffic, however, this is key to reach public acceptance. In this paper, we revise the problem statement of motion planning in mixed traffic: Instead of largely simplifying the motion planning problem to a convex optimization problem, we keep a more complex probabilistic multi agent model and strive for a near optimal solution. We assume cooperation of other traffic participants, yet being aware of violations of this assumption. This approach yields solutions that are provably safe in all situations, and convenient and comprehensible in situations that are also unambiguous for humans. Thus, it outperforms existing approaches in mixed traffic scenarios, as we show in our simulation environment.