



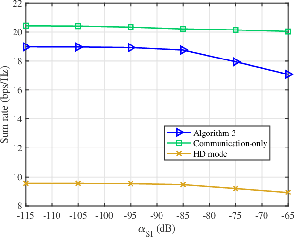
Beamforming design has been widely investigated for integrated sensing and communication (ISAC) systems with full-duplex (FD) sensing and half-duplex (HD) communication. To achieve higher spectral efficiency, in this paper, we extend existing ISAC beamforming design by considering the FD capability for both radar and communication. Specifically, we consider an ISAC system, where the BS performs target detection and communicates with multiple downlink users and uplink users reusing the same time and frequency resources. We jointly optimize the downlink dual-functional transmit signal and the uplink receive beamformers at the BS and the transmit power at the uplink users. The problems are formulated under two criteria: power consumption minimization and sum rate maximization. The downlink and uplink transmissions are tightly coupled due to both the desired target echo and the undesired interference received at the BS, making the problems challenging. To handle these issues in both cases, we first determine the optimal receive beamformers, which are derived in closed forms with respect to the BS transmit beamforming and the user transmit power, for radar target detection and uplink communications, respectively. Subsequently, we invoke these results to obtain equivalent optimization problems and propose efficient iterative algorithms to solve them by using the techniques of rank relaxation and successive convex approximation (SCA), where the adopted relaxation is proven to be tight. In addition, we consider a special case under the power minimization criterion and propose an alternative low complexity design. Numerical results demonstrate that the optimized FD communication-based ISAC brings tremendous improvements in terms of both power efficiency and spectral efficiency compared to the conventional ISAC with HD communication.