



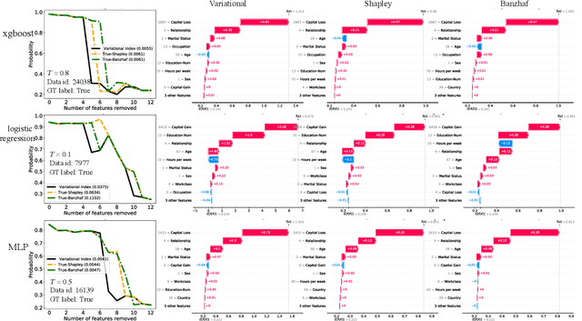
Valuation problems, such as attribution-based feature interpretation, data valuation and model valuation for ensembles, become increasingly more important in many machine learning applications. Such problems are commonly solved by well-known game-theoretic criteria, such as Shapley value or Banzhaf index. In this work, we present a novel energy-based treatment for cooperative games, with a theoretical justification by the maximum entropy framework. Surprisingly, by conducting variational inference of the energy-based model, we recover various game-theoretic valuation criteria, such as Shapley value and Banzhaf index, through conducting one-step gradient ascent for maximizing the mean-field ELBO objective. This observation also verifies the rationality of existing criteria, as they are all trying to decouple the correlations among the players through the mean-field approach. By running gradient ascent for multiple steps, we achieve a trajectory of the valuations, among which we define the valuation with the best conceivable decoupling error as the Variational Index. We experimentally demonstrate that the proposed Variational Index enjoys intriguing properties on certain synthetic and real-world valuation problems.