



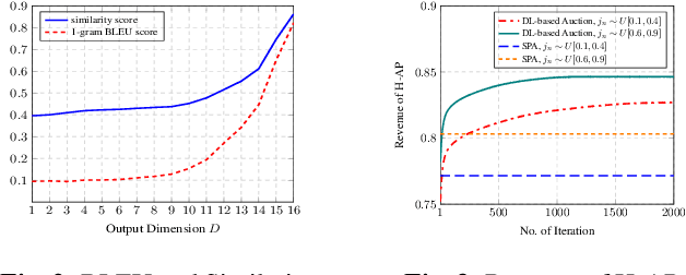
The semantic communication system enables wireless devices to communicate effectively with the semantic meaning of the data. Wireless powered Internet of Things (IoT) that adopts the semantic communication system relies on harvested energy to transmit semantic information. However, the issue of energy constraint in the semantic communication system is not well studied. In this paper, we propose a semantic-based energy valuation and take an economic approach to solve the energy allocation problem as an incentive mechanism design. In our model, IoT devices (bidders) place their bids for the energy and power transmitter (auctioneer) decides the winner and payment by using deep learning based optimal auction. Results show that the revenue of wireless power transmitter is maximized while satisfying Individual Rationality (IR) and Incentive Compatibility (IC).