



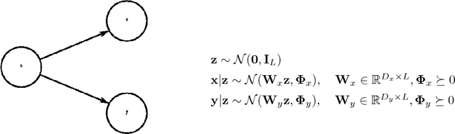
We present deep variational canonical correlation analysis (VCCA), a deep multi-view learning model that extends the latent variable model interpretation of linear CCA to nonlinear observation models parameterized by deep neural networks. We derive variational lower bounds of the data likelihood by parameterizing the posterior probability of the latent variables from the view that is available at test time. We also propose a variant of VCCA called VCCA-private that can, in addition to the "common variables" underlying both views, extract the "private variables" within each view, and disentangles the shared and private information for multi-view data without hard supervision. Experimental results on real-world datasets show that our methods are competitive across domains.