



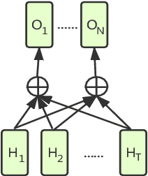
Acoustic scene classification(ASC) and acoustic event detection(AED) are different but related tasks. Acoustic scenes can be shaped by occurred acoustic events which can provide useful information in training ASC tasks. However, most of the datasets are provided without either the acoustic event or scene labels. Therefore, We explored cross-task pre-training mechanism to utilize acoustic event information extracted from the pre-trained model to optimize the ASC task. We present three cross-task pre-training architectures and evaluated them in feature-based and fine-tuning strategies on two datasets respectively: TAU Urban Acoustic Scenes 2019 dataset and TUT Acoustic Scenes 2017 dataset. Results have shown that cross-task pre-training mechanism can significantly improve the performance of ASC tasks and the performance of our best model improved relatively 9.5% in the TAU Urban Acoustic Scenes 2019 dataset, and also improved 10% in the TUT Acoustic Scenes 2017 dataset compared with the official baseline.