



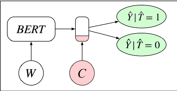
We consider the problem of estimating the causal effects of linguistic properties on downstream outcomes. For example, does writing a complaint politely lead to a faster response time? How much will a positive product review increase sales? This paper focuses on two challenges related to the problem. First, we formalize the causal quantity of interest as the effect of a writer's intent, and establish the assumptions necessary to identify this from observational data. Second, in practice we only have access to noisy proxies for these linguistic properties---e.g., predictions from classifiers and lexicons. We propose an estimator for this setting and prove that its bias is bounded when we perform an adjustment for the text. The method leverages (1) a pre-trained language model (BERT) to adjust for the text, and (2) distant supervision to improve the quality of noisy proxies. We show that our algorithm produces better causal estimates than related methods on two datasets: predicting the effect of music review sentiment on sales, and complaint politeness on response time.