



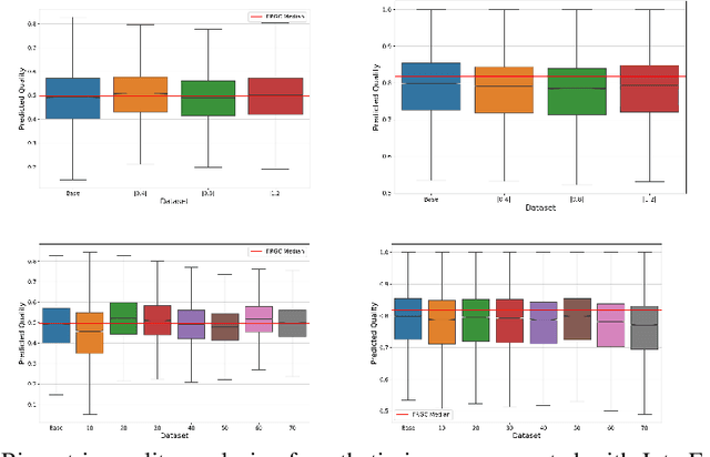
The vast progress in synthetic image synthesis enables the generation of facial images in high resolution and photorealism. In biometric applications, the main motivation for using synthetic data is to solve the shortage of publicly-available biometric data while reducing privacy risks when processing such sensitive information. These advantages are exploited in this work by simulating human face ageing with recent face age modification algorithms to generate mated samples, thereby studying the impact of ageing on the performance of an open-source biometric recognition system. Further, a real dataset is used to evaluate the effects of short-term ageing, comparing the biometric performance to the synthetic domain. The main findings indicate that short-term ageing in the range of 1-5 years has only minor effects on the general recognition performance. However, the correct verification of mated faces with long-term age differences beyond 20 years poses still a significant challenge and requires further investigation.