



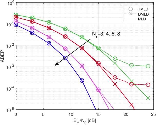
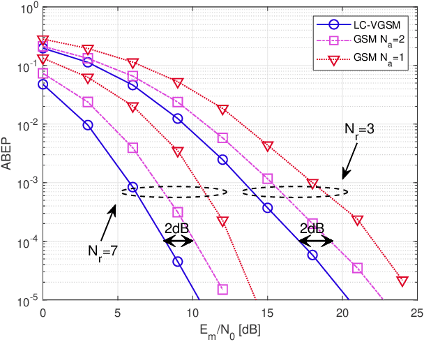
Low-complexity improved-throughput generalised spatial modulation (LCIT-GSM) is proposed. More explicitly, in GSM, extra information bits are conveyed implicitly by activating a fixed number $N_{a}$ out of $N_{t}$ transmit antennas (TAs) at a time. As a result, GSM has the advantage of a reduced number of radio-frequency (RF) chains and reduced inter-antenna interference (IAI) at the cost of a lower throughput than its multiplexing-oriented full-RF based counterparts. Variable-${N_a}$ GSM mitigates this throughput reduction by incorporating all possible TA activation patterns associated with a variable value $N_{a}$ ranging from $1$ to $N_{t}$ during a single channel-use, which maximises the throughput of GSM but suffers a high complexity of the mapping book design and demodulation. In order to mitigate the complexity, \emph{first of all}, we propose two efficient schemes for mapping the information bits to the TA activation patterns, which can be readily scaled to massive MIMO setups. \emph{Secondly}, in the absence of IAI, we derive a pair of low-complexity near-optimal detectors, one of them has a reduced search scope, while the other benefits from a decoupled single-stream based signal detection algorithm. \emph{Finally}, the performance of the proposed LCIT-GSM system is characterised by the error probability upper bound (UB). Our Monte Carlo based simulation results confirm the improved error performance of our proposed scheme, despite its reduced signal detection complexity.