



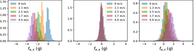
Realtime model learning proves challenging for complex dynamical systems, such as drones flying in variable wind conditions. Machine learning technique such as deep neural networks have high representation power but is often too slow to update onboard. On the other hand, adaptive control relies on simple linear parameter models can update as fast as the feedback control loop. We propose an online composite adaptation method that treats outputs from a deep neural network as a set of basis functions capable of representing different wind conditions. To help with training, meta-learning techniques are used to optimize the network output useful for adaptation. We validate our approach by flying a drone in an open air wind tunnel under varying wind conditions and along challenging trajectories. We compare the result with other adaptive controller with different basis function sets and show improvement over tracking and prediction errors.