



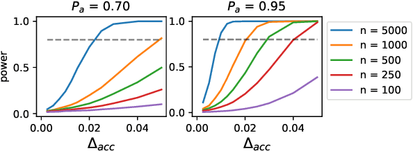
Despite its importance to experimental design, statistical power (the probability that, given a real effect, an experiment will reject the null hypothesis) has largely been ignored by the NLP community. Underpowered experiments make it more difficult to discern the difference between statistical noise and meaningful model improvements, and increase the chances of exaggerated findings. By meta-analyzing a set of existing NLP papers and datasets, we characterize typical power for a variety of settings and conclude that underpowered experiments are common in the NLP literature. In particular, for several tasks in the popular GLUE benchmark, small test sets mean that most attempted comparisons to state of the art models will not be adequately powered. Similarly, based on reasonable assumptions, we find that the most typical experimental design for human rating studies will be underpowered to detect small model differences, of the sort that are frequently studied. For machine translation, we find that typical test sets of 2000 sentences have approximately 75% power to detect differences of 1 BLEU point. To improve the situation going forward, we give an overview of best practices for power analysis in NLP and release a series of notebooks to assist with future power analyses.