



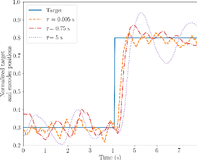
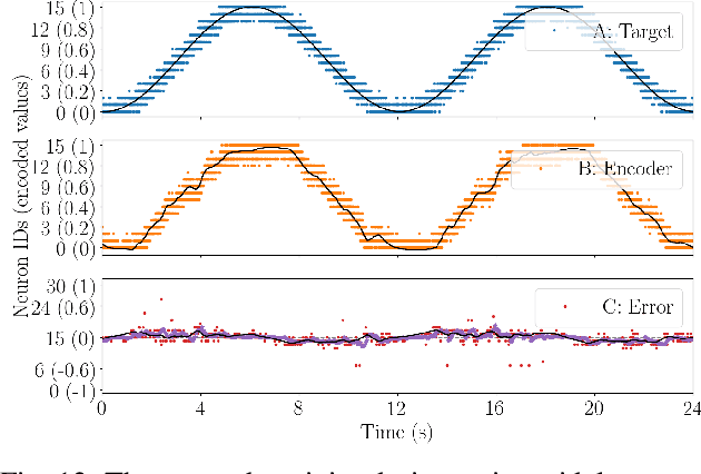
Despite neuromorphic engineering promises the deployment of low latency, adaptive and low power systems that can lead to the design of truly autonomous artificial agents, the development of a fully neuromorphic artificial agent is still missing. While neuromorphic sensing and perception, as well as decision-making systems, are now mature, the control and actuation part is lagging behind. In this paper, we present a closed-loop motor controller implemented on mixed-signal analog-digital neuromorphic hardware using a spiking neural network. The network performs a proportional control action by encoding target, feedback, and error signals using a spiking relational network. It continuously calculates the error through a connectivity pattern, which relates the three variables by means of feed-forward connections. Recurrent connections within each population are used to speed up the convergence, decrease the effect of mismatch and improve selectivity. The neuromorphic motor controller is interfaced with the iCub robot simulator. We tested our spiking P controller in a single joint control task, specifically for the robot head yaw. The spiking controller sends the target positions, reads the motor state from its encoder, and sends back the motor commands to the joint. The performance of the spiking controller is tested in a step response experiment and in a target pursuit task. In this work, we optimize the network structure to make it more robust to noisy inputs and device mismatch, which leads to better control performances.