
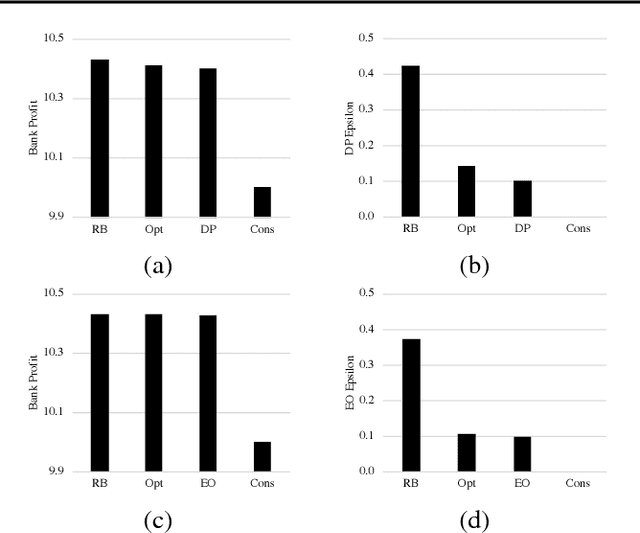
It has recently been shown that if feedback effects of decisions are ignored, then imposing fairness constraints such as demographic parity or equality of opportunity can actually exacerbate unfairness. We propose to address this challenge by modeling feedback effects as the dynamics of a Markov decision processes (MDPs). First, we define analogs of fairness properties that have been proposed for supervised learning. Second, we propose algorithms for learning fair decision-making policies for MDPs. We also explore extensions to reinforcement learning, where parts of the dynamical system are unknown and must be learned without violating fairness. Finally, we demonstrate the need to account for dynamical effects using simulations on a loan applicant MDP.