



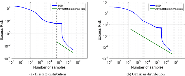
There is widespread sentiment that it is not possible to effectively utilize fast gradient methods (e.g. Nesterov's acceleration, conjugate gradient, heavy ball) for the purposes of stochastic optimization due to their instability and error accumulation, a notion made precise in d'Aspremont 2008 and Devolder, Glineur, and Nesterov 2014. This work considers these issues for the special case of stochastic approximation for the least squares regression problem, and our main result refutes the conventional wisdom by showing that acceleration can be made robust to statistical errors. In particular, this work introduces an accelerated stochastic gradient method that provably achieves the minimax optimal statistical risk faster than stochastic gradient descent. Critical to the analysis is a sharp characterization of accelerated stochastic gradient descent as a stochastic process. We hope this characterization gives insights towards the broader question of designing simple and effective accelerated stochastic methods for more general convex and non-convex optimization problems.