



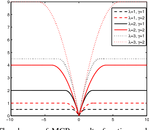
Abstract:The aim of this paper is to train an RBF neural network and select centers under concurrent faults. It is well known that fault tolerance is a very attractive property for neural networks. And center selection is an important procedure during the training process of an RBF neural network. In this paper, we devise two novel algorithms to address these two issues simultaneously. Both of them are based on the ADMM framework. In the first method, the minimax concave penalty (MCP) function is introduced to select centers. In the second method, an l0-norm term is directly used, and the hard threshold (HT) is utilized to address the l0-norm term. Under several mild conditions, we can prove that both methods can globally converge to a unique limit point. Simulation results show that, under concurrent fault, the proposed algorithms are superior to many existing methods.