Abstract:Remote sensing (RS) large vision-language models (LVLMs) have shown strong promise across visual grounding (VG) tasks. However, existing RS VG datasets predominantly rely on explicit referring expressions-such as relative position, relative size, and color cues-thereby constraining performance on implicit VG tasks that require scenario-specific domain knowledge. This article introduces DVGBench, a high-quality implicit VG benchmark for drones, covering six major application scenarios: traffic, disaster, security, sport, social activity, and productive activity. Each object provides both explicit and implicit queries. Based on the dataset, we design DroneVG-R1, an LVLM that integrates the novel Implicit-to-Explicit Chain-of-Thought (I2E-CoT) within a reinforcement learning paradigm. This enables the model to take advantage of scene-specific expertise, converting implicit references into explicit ones and thus reducing grounding difficulty. Finally, an evaluation of mainstream models on both explicit and implicit VG tasks reveals substantial limitations in their reasoning capabilities. These findings provide actionable insights for advancing the reasoning capacity of LVLMs for drone-based agents. The code and datasets will be released at https://github.com/zytx121/DVGBench




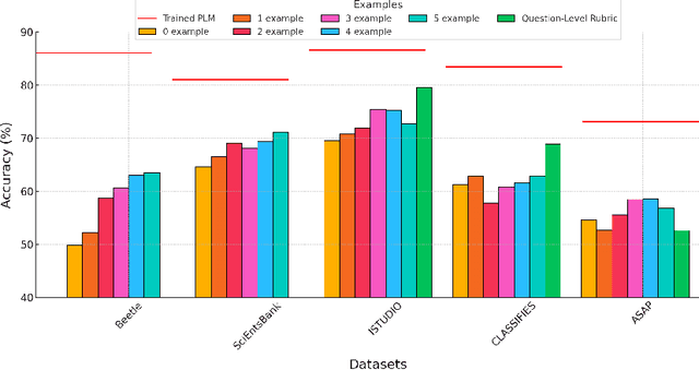
Abstract:Formative assessment in STEM topics aims to promote student learning by identifying students' current understanding, thus targeting how to promote further learning. Previous studies suggest that the assessment performance of current generative large language models (LLMs) on constructed responses to open-ended questions is significantly lower than that of supervised classifiers trained on high-quality labeled data. However, we demonstrate that concept-based rubrics can significantly enhance LLM performance, which narrows the gap between LLMs as off-the shelf assessment tools, and smaller supervised models, which need large amounts of training data. For datasets where concept-based rubrics allow LLMs to achieve strong performance, we show that the concept-based rubrics help the same LLMs generate high quality synthetic data for training lightweight, high-performance supervised models. Our experiments span diverse STEM student response datasets with labels of varying quality, including a new real-world dataset that contains some AI-assisted responses, which introduces additional considerations.
Abstract:Restricted Boltzmann Machines are a class of undirected graphical models that play a key role in deep learning and unsupervised learning. In this study, we prove a phase transition phenomenon in the mixing time of the Gibbs sampler for a one-parameter Restricted Boltzmann Machine. Specifically, the mixing time varies logarithmically, polynomially, and exponentially with the number of vertices depending on whether the parameter $c$ is above, equal to, or below a critical value $c_\star\approx-5.87$. A key insight from our analysis is the link between the Gibbs sampler and a dynamical system, which we utilize to quantify the former based on the behavior of the latter. To study the critical case $c= c_\star$, we develop a new isoperimetric inequality for the sampler's stationary distribution by showing that the distribution is nearly log-concave.