Abstract:Terahertz (THz) integrated sensing and communication (ISAC) enables simultaneous data transmission with Terabit-per-second (Tbps) rate and millimeter-level accurate sensing. To realize such a blueprint, ultra-massive antenna arrays with directional beamforming are used to compensate for severe path loss in the THz band. In this paper, the time-frequency-space transmit design is investigated for THz ISAC to generate time-varying scanning sensing beams and stable communication beams. Specifically, with the dynamic array-of-subarray (DAoSA) hybrid beamforming architecture and multi-carrier modulation, two ISAC hybrid precoding algorithms are proposed, namely, a vectorization (VEC) based algorithm that outperforms existing ISAC hybrid precoding methods and a low-complexity sensing codebook assisted (SCA) approach. Meanwhile, coupled with the transmit design, parameter estimation algorithms are proposed to realize high-accuracy sensing, including a wideband DAoSA MUSIC (W-DAoSA-MUSIC) method for angle estimation and a sum-DFT-GSS (S-DFT-GSS) approach for range and velocity estimation. Numerical results indicate that the proposed algorithms can realize centi-degree-level angle estimation accuracy and millimeter-level range estimation accuracy, which are one or two orders of magnitudes better than the methods in the millimeter-wave band. In addition, to overcome the cyclic prefix limitation and Doppler effects in the THz band, an inter-symbol interference- and inter-carrier interference-tackled sensing algorithm is developed to refine sensing capabilities for THz ISAC.




Abstract:The Terahertz (0.1-10 THz) band holds enormous potential for supporting unprecedented data rates and millimeter-level accurate sensing thanks to its ultra-broad bandwidth. Terahertz integrated sensing and communication (ISAC) is viewed as a game-changing technology to realize connected intelligence in 6G and beyond systems. In this article, challenges from THz channel and transceiver perspectives, as well as difficulties of ISAC are elaborated. Motivated by these challenges, THz ISAC channels are studied in terms of channel types, measurement and models. Moreover, four key signal processing techniques to unleash the full potential of THz ISAC are investigated, namely, waveform design, receiver processing, narrowbeam management, and localization. Quantitative studies demonstrate the benefits and performance of the state-of-the-art signal processing methods. Finally, open problems and potential solutions are discussed.




Abstract:Terahertz (THz) integrated sensing and communication (ISAC) is a promising interdisciplinary technology that realizes simultaneously transmitting Terabit-per-second (Tbps) and millimeter-level accurate environment or human activity sensing. However, both communication performance and sensing accuracy are influenced by the Doppler effects, which are especially severe in the THz band. Moreover, peak-to-average power ratio (PAPR) degrades the THz power amplifier (PA) efficiency. In this paper, a discrete Fourier transform spread orthogonal time frequency space (DFT-s-OTFS) system is proposed to improve the robustness to Doppler effects and reduce PAPR for THz ISAC. Then, a two-phase sensing parameter estimation algorithm is developed to integrate sensing functionality into the DFT-s-OTFS waveform. Meanwhile, a scheme of superimposed pilots is designed, which reduces the pilot overhead and improves the spectral efficiency. Based on the superimposed pilots, a low-complexity iterative channel estimation and data detection method is proposed to recover the data symbols of DFT-s-OTFS. The proposed DFT-s-OTFS waveform can improve the PA efficiency by 10% on average compared to OTFS. Simulation results demonstrate that the proposed two-phase sensing estimation algorithm for THz DFT-s-OTFS systems is able to realize millimeter-level range estimation accuracy and decimeter-per-second-level velocity estimation accuracy. Moreover, the effectiveness of the iterative method for data detection aided by superimposed pilots in DFT-s-OTFS systems is validated by the simulations and the bit error rate performance is not degraded by the Doppler effects.




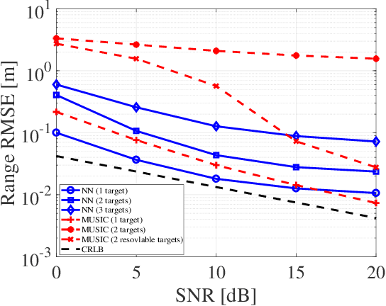
Abstract:Terahertz (THz) communications are envisioned as a key technology of next-generation wireless systems due to its ultra-broad bandwidth. One step forward, THz integrated sensing and communication (ISAC) system can realize both unprecedented data rates and millimeter-level accurate sensing. However, THz ISAC meets stringent challenges on waveform and receiver design, to fully exploit the peculiarities of THz channel and transceivers. In this work, a sensing integrated discrete Fourier transform spread orthogonal frequency division multiplexing (SI-DFT-s-OFDM) system is proposed for THz ISAC, which can provide lower peak-to-average power ratio than OFDM and is adaptive to flexible delay spread of the THz channel. Without compromising communication capabilities, the proposed SI-DFT-s-OFDM realizes millimeter-level range estimation and decimeter-per-second-level velocity estimation accuracy. In addition, the bit error rate (BER) performance is improved by 5 dB gain at the $10^{-3}$ BER level compared with OFDM. At the receiver, a two-level multi-task neural network based ISAC detector is developed to jointly recover transmitted data and estimate target range and velocity, while mitigating the imperfections and non-linearities of THz systems. Extensive simulation results demonstrate that the deep learning method can realize mutually enhanced performance for communication and sensing, and is robust against white noise, Doppler effects, multi-path fading and phase noise.