Abstract:Accurately segmenting lesions in ultrasound images is challenging due to the difficulty in distinguishing boundaries between lesions and surrounding tissues. While deep learning has improved segmentation accuracy, there is limited focus on boundary quality and its relationship with body structures. To address this, we introduce UBBS-Net, a dual-branch deep neural network that learns the relationship between body and boundary for improved segmentation. We also propose a feature fusion module to integrate body and boundary information. Evaluated on three public datasets, UBBS-Net outperforms existing methods, achieving Dice Similarity Coefficients of 81.05% for breast cancer, 76.41% for brachial plexus nerves, and 87.75% for infantile hemangioma segmentation. Our results demonstrate the effectiveness of UBBS-Net for ultrasound image segmentation. The code is available at https://github.com/apple1986/DBF-Net.




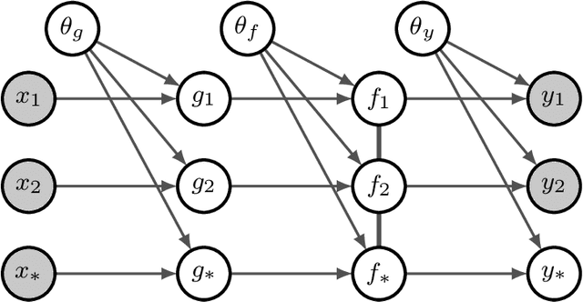
Abstract:We propose nonparametric Bayesian estimators for causal inference exploiting Regression Discontinuity/Kink (RD/RK) under sharp and fuzzy designs. Our estimators are based on Gaussian Process (GP) regression and classification. The GP methods are powerful probabilistic modeling approaches that are advantageous in terms of derivative estimation and uncertainty qualification, facilitating RK estimation and inference of RD/RK models. These estimators are extended to hierarchical GP models with an intermediate Bayesian neural network layer and can be characterized as hybrid deep learning models. Monte Carlo simulations show that our estimators perform similarly and often better than competing estimators in terms of precision, coverage and interval length. The hierarchical GP models improve upon one-layer GP models substantially. An empirical application of the proposed estimators is provided.