



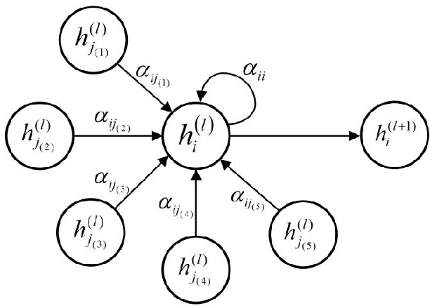
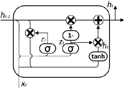
Abstract:Due to the highly dynamic changes in wireless network topologies, efficiently obtaining network status information and flexibly forwarding data to improve communication quality of service are important challenges. This article introduces an intelligent routing algorithm (DRL-PPONSA) based on proximal policy optimization deep reinforcement learning with network situational awareness under a software-defined wireless networking architecture. First, a specific data plane is designed for network topology construction and data forwarding. The control plane collects network traffic information, sends flow tables, and uses a GCN-GRU prediction mechanism to perceive future traffic change trends to achieve network situational awareness. Second, a DRL-based data forwarding mechanism is designed in the knowledge plane. The predicted network traffic matrix and topology information matrix are treated as the environment for DRL agents, while next-hop adjacent nodes are treated as executable actions. Accordingly, action selection strategies are designed for different network conditions to achieve more intelligent, flexible, and efficient routing control. The reward function is designed using network link information and various reward and penalty mechanisms. Additionally, importance sampling and gradient clipping techniques are employed during gradient updating to enhance convergence speed and stability. Experimental results show that DRL-PPONSA outperforms traditional routing methods in network throughput, delay, packet loss rate, and wireless node distance. Compared to value-function-based Dueling DQN routing, the convergence speed is significantly improved, and the convergence effect is more stable. Simultaneously, its consumption of hardware storage space is reduced, and efficient routing decisions can be made in real-time using the current network state information.




Abstract:Multicast communication technology is widely applied in wireless environments with a high device density. Traditional wireless network architectures have difficulty flexibly obtaining and maintaining global network state information and cannot quickly respond to network state changes, thus affecting the throughput, delay, and other QoS requirements of existing multicasting solutions. Therefore, this paper proposes a new multicast routing method based on multiagent deep reinforcement learning (MADRL-MR) in a software-defined wireless networking (SDWN) environment. First, SDWN technology is adopted to flexibly configure the network and obtain network state information in the form of traffic matrices representing global network links information, such as link bandwidth, delay, and packet loss rate. Second, the multicast routing problem is divided into multiple subproblems, which are solved through multiagent cooperation. To enable each agent to accurately understand the current network state and the status of multicast tree construction, the state space of each agent is designed based on the traffic and multicast tree status matrices, and the set of AP nodes in the network is used as the action space. A novel single-hop action strategy is designed, along with a reward function based on the four states that may occur during tree construction: progress, invalid, loop, and termination. Finally, a decentralized training approach is combined with transfer learning to enable each agent to quickly adapt to dynamic network changes and accelerate convergence. Simulation experiments show that MADRL-MR outperforms existing algorithms in terms of throughput, delay, packet loss rate, etc., and can establish more intelligent multicast routes.




Abstract:Anomaly detection is widely used to distinguish system anomalies by analyzing the temporal and spatial features of wireless sensor network (WSN) data streams; it is one of critical technique that ensures the reliability of WSNs. Currently, graph neural networks (GNNs) have become popular state-of-the-art methods for conducting anomaly detection on WSN data streams. However, the existing anomaly detection methods based on GNNs do not consider the temporal and spatial features of WSN data streams simultaneously, such as multi-node, multi-modal and multi-time features, seriously impacting their effectiveness. In this paper, a novel anomaly detection model is proposed for multimodal WSN data flows, where three GNNs are used to separately extract the temporal features of WSN data flows, the correlation features between different modes and the spatial features between sensor node positions. Specifically, first, the temporal features and modal correlation features extracted from each sensor node are fused into one vector representation, which is further aggregated with the spatial features, i.e., the spatial position relationships of the nodes; finally, the current time-series data of WSN nodes are predicted, and abnormal states are identified according to the fusion features. The simulation results obtained on a public dataset show that the proposed approach is able to significantly improve upon the existing methods in terms of its robustness, and its F1 score reaches 0.90, which is 14.2% higher than that of the graph convolution network (GCN) with long short-term memory (LSTM).