Abstract:We define a quantum learning task called agnostic tomography, where given copies of an arbitrary state $\rho$ and a class of quantum states $\mathcal{C}$, the goal is to output a succinct description of a state that approximates $\rho$ at least as well as any state in $\mathcal{C}$ (up to some small error $\varepsilon$). This task generalizes ordinary quantum tomography of states in $\mathcal{C}$ and is more challenging because the learning algorithm must be robust to perturbations of $\rho$. We give an efficient agnostic tomography algorithm for the class $\mathcal{C}$ of $n$-qubit stabilizer product states. Assuming $\rho$ has fidelity at least $\tau$ with a stabilizer product state, the algorithm runs in time $n^{O(1 + \log(1/\tau))} / \varepsilon^2$. This runtime is quasipolynomial in all parameters, and polynomial if $\tau$ is a constant.
Abstract:Recent work has shown that $n$-qubit quantum states output by circuits with at most $t$ single-qubit non-Clifford gates can be learned to trace distance $\epsilon$ using $\mathsf{poly}(n,2^t,1/\epsilon)$ time and samples. All prior algorithms achieving this runtime use entangled measurements across two copies of the input state. In this work, we give a similarly efficient algorithm that learns the same class of states using only single-copy measurements.
Abstract:We give an algorithm that efficiently learns a quantum state prepared by Clifford gates and $O(\log(n))$ non-Clifford gates. Specifically, for an $n$-qubit state $\lvert \psi \rangle$ prepared with at most $t$ non-Clifford gates, we show that $\mathsf{poly}(n,2^t,1/\epsilon)$ time and copies of $\lvert \psi \rangle$ suffice to learn $\lvert \psi \rangle$ to trace distance at most $\epsilon$. This result follows as a special case of an algorithm for learning states with large stabilizer dimension, where a quantum state has stabilizer dimension $k$ if it is stabilized by an abelian group of $2^k$ Pauli operators. We also develop an efficient property testing algorithm for stabilizer dimension, which may be of independent interest.
Abstract:We show that quantum states with "low stabilizer complexity" can be efficiently distinguished from Haar-random. Specifically, given an $n$-qubit pure state $|\psi\rangle$, we give an efficient algorithm that distinguishes whether $|\psi\rangle$ is (i) Haar-random or (ii) a state with stabilizer fidelity at least $\frac{1}{k}$ (i.e., has fidelity at least $\frac{1}{k}$ with some stabilizer state), promised that one of these is the case. With black-box access to $|\psi\rangle$, our algorithm uses $O\!\left( k^{12} \log(1/\delta)\right)$ copies of $|\psi\rangle$ and $O\!\left(n k^{12} \log(1/\delta)\right)$ time to succeed with probability at least $1-\delta$, and, with access to a state preparation unitary for $|\psi\rangle$ (and its inverse), $O\!\left( k^{3} \log(1/\delta)\right)$ queries and $O\!\left(n k^{3} \log(1/\delta)\right)$ time suffice. As a corollary, we prove that $\omega(\log(n))$ $T$-gates are necessary for any Clifford+$T$ circuit to prepare computationally pseudorandom quantum states, a first-of-its-kind lower bound.




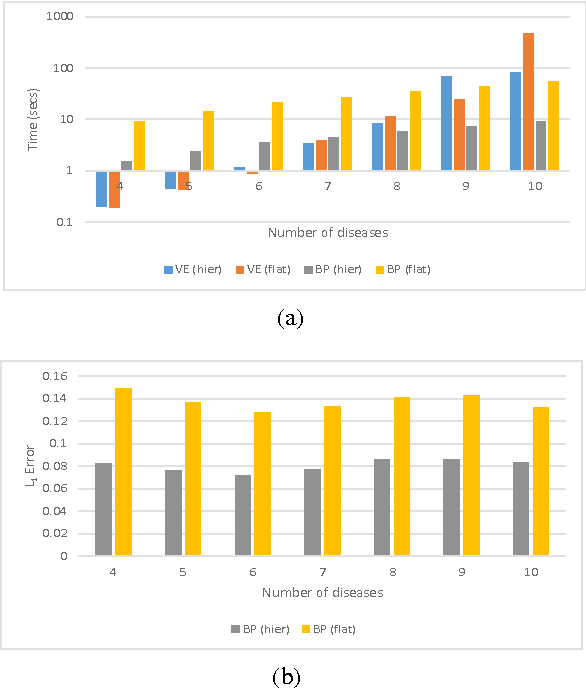
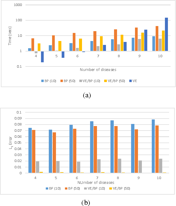
Abstract:Reasoning on large and complex real-world models is a computationally difficult task, yet one that is required for effective use of many AI applications. A plethora of inference algorithms have been developed that work well on specific models or only on parts of general models. Consequently, a system that can intelligently apply these inference algorithms to different parts of a model for fast reasoning is highly desirable. We introduce a new framework called structured factored inference (SFI) that provides the foundation for such a system. Using models encoded in a probabilistic programming language, SFI provides a sound means to decompose a model into sub-models, apply an inference algorithm to each sub-model, and combine the resulting information to answer a query. Our results show that SFI is nearly as accurate as exact inference yet retains the benefits of approximate inference methods.