Abstract:Contact forces pose a major challenge for gradient-based optimization of robot dynamics as they introduce jumps in the system's velocities. Penalty-based simulators, such as MuJoCo, simplify gradient computation by softening the contact forces. However, realistically simulating hard contacts requires very stiff contact settings, which leads to incorrect gradients when using automatic differentiation. On the other hand, using non-stiff settings strongly increases the sim-to-real gap. We analyze the contact computation of penalty-based simulators to identify the causes of gradient errors. Then, we propose DiffMJX, which combines adaptive integration with MuJoCo XLA, to notably improve gradient quality in the presence of hard contacts. Finally, we address a key limitation of contact gradients: they vanish when objects do not touch. To overcome this, we introduce Contacts From Distance (CFD), a mechanism that enables the simulator to generate informative contact gradients even before objects are in contact. To preserve physical realism, we apply CFD only in the backward pass using a straight-through trick, allowing us to compute useful gradients without modifying the forward simulation.
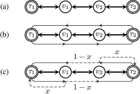
Abstract:Adversarial Patrolling games form a subclass of Security games where a Defender moves between locations, guarding vulnerable targets. The main algorithmic problem is constructing a strategy for the Defender that minimizes the worst damage an Attacker can cause. We focus on the class of finite-memory (also known as regular) Defender's strategies that experimentally outperformed other competing classes. A finite-memory strategy can be seen as a positional strategy on a finite set of states. Each state consists of a pair of a location and a certain integer value--called memory. Existing algorithms improve the transitional probabilities between the states but require that the available memory size itself is assigned at each location manually. Choosing the right memory assignment is a well-known open and hard problem that hinders the usability of finite-memory strategies. We solve this issue by developing a general method that iteratively changes the memory assignment. Our algorithm can be used in connection with \emph{any} black-box strategy optimization tool. We evaluate our method on various experiments and show its robustness by solving instances of various patrolling models.




Abstract:The long-run average payoff per transition (mean payoff) is the main tool for specifying the performance and dependability properties of discrete systems. The problem of constructing a controller (strategy) simultaneously optimizing several mean payoffs has been deeply studied for stochastic and game-theoretic models. One common issue of the constructed controllers is the instability of the mean payoffs, measured by the deviations of the average rewards per transition computed in a finite "window" sliding along a run. Unfortunately, the problem of simultaneously optimizing the mean payoffs under local stability constraints is computationally hard, and the existing works do not provide a practically usable algorithm even for non-stochastic models such as two-player games. In this paper, we design and evaluate the first efficient and scalable solution to this problem applicable to Markov decision processes.
Abstract:Embedding parameterized optimization problems as layers into machine learning architectures serves as a powerful inductive bias. Training such architectures with stochastic gradient descent requires care, as degenerate derivatives of the embedded optimization problem often render the gradients uninformative. We propose Lagrangian Proximal Gradient Descent (LPGD) a flexible framework for training architectures with embedded optimization layers that seamlessly integrates into automatic differentiation libraries. LPGD efficiently computes meaningful replacements of the degenerate optimization layer derivatives by re-running the forward solver oracle on a perturbed input. LPGD captures various previously proposed methods as special cases, while fostering deep links to traditional optimization methods. We theoretically analyze our method and demonstrate on historical and synthetic data that LPGD converges faster than gradient descent even in a differentiable setup.




Abstract:Embedding discrete solvers as differentiable layers has given modern deep learning architectures combinatorial expressivity and discrete reasoning capabilities. The derivative of these solvers is zero or undefined, therefore a meaningful replacement is crucial for effective gradient-based learning. Prior works rely on smoothing the solver with input perturbations, relaxing the solver to continuous problems, or interpolating the loss landscape with techniques that typically require additional solver calls, introduce extra hyper-parameters or compromise performance. We propose a principled approach to exploit the geometry of the discrete solution space to treat the solver as a negative identity on the backward pass and further provide a theoretical justification. Our experiments demonstrate that such a straightforward hyper-parameter-free approach is on-par with or outperforms previous more complex methods on numerous experiments such as Traveling Salesman Problem, Shortest Path, Deep Graph Matching, and backpropagating through discrete samplers. Furthermore, we substitute the previously proposed problem-specific and label-dependent margin by a generic regularization procedure that prevents cost collapse and increases robustness.




Abstract:We consider the mobile robot path planning problem for a class of recurrent reachability objectives. These objectives are parameterized by the expected time needed to visit one position from another, the expected square of this time, and also the frequency of moves between two neighboring locations. We design an efficient strategy synthesis algorithm for recurrent reachability objectives and demonstrate its functionality on non-trivial instances.




Abstract:Bridging logical and algorithmic reasoning with modern machine learning techniques is a fundamental challenge with potentially transformative impact. On the algorithmic side, many NP-hard problems can be expressed as integer programs, in which the constraints play the role of their "combinatorial specification". In this work, we aim to integrate integer programming solvers into neural network architectures as layers capable of learning both the cost terms and the constraints. The resulting end-to-end trainable architectures jointly extract features from raw data and solve a suitable (learned) combinatorial problem with state-of-the-art integer programming solvers. We demonstrate the potential of such layers with an extensive performance analysis on synthetic data and with a demonstration on a competitive computer vision keypoint matching benchmark.




Abstract:Building on recent progress at the intersection of combinatorial optimization and deep learning, we propose an end-to-end trainable architecture for deep graph matching that contains unmodified combinatorial solvers. Using the presence of heavily optimized combinatorial solvers together with some improvements in architecture design, we advance state-of-the-art on deep graph matching benchmarks for keypoint correspondence. In addition, we highlight the conceptual advantages of incorporating solvers into deep learning architectures, such as the possibility of post-processing with a strong multi-graph matching solver or the indifference to changes in the training setting. Finally, we propose two new challenging experimental setups.




Abstract:Rank-based metrics are some of the most widely used criteria for performance evaluation of computer vision models. Despite years of effort, direct optimization for these metrics remains a challenge due to their non-differentiable and non-decomposable nature. We present an efficient, theoretically sound, and general method for differentiating rank-based metrics with mini-batch gradient descent. In addition, we address optimization instability and sparsity of the supervision signal that both arise from using rank-based metrics as optimization targets. Resulting losses based on recall and Average Precision are applied to image retrieval and object detection tasks. We obtain performance that is competitive with state-of-the-art on standard image retrieval datasets and consistently improve performance of near state-of-the-art object detectors.




Abstract:Achieving fusion of deep learning with combinatorial algorithms promises transformative changes to artificial intelligence. One possible approach is to introduce combinatorial building blocks into neural networks. Such end-to-end architectures have the potential to tackle combinatorial problems on raw input data such as ensuring global consistency in multi-object tracking or route planning on maps in robotics. In this work, we present a method that implements an efficient backward pass through blackbox implementations of combinatorial solvers with linear objective functions. We provide both theoretical and experimental backing. In particular, we incorporate the Gurobi MIP solver, Blossom V algorithm, and Dijkstra's algorithm into architectures that extract suitable features from raw inputs for the traveling salesman problem, the min-cost perfect matching problem and the shortest path problem.